Официальное опубликование правовых актов
ОФИЦИАЛЬНОЕ ОПУБЛИКОВАНИЕ
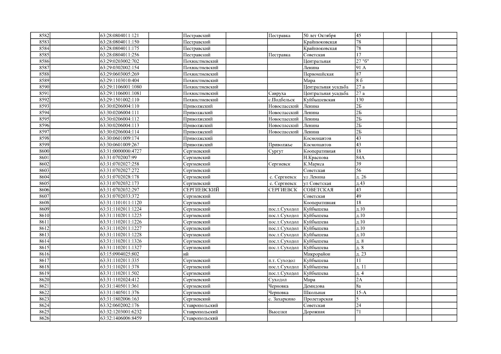
Приказ Министерства имущественных отношений Самарской области от 05.11.2024 № 2650
"Об определении Перечня объектов недвижимого имущества, находящихся на территории Самарской области, в отношении которых налоговая база определяется как их кадастровая стоимость для целей налогообложения, на 2025 год"
(Зарегистрирован 05.11.2024 № МИО-24/2650)
Номер опубликования: 6301202411080001
Дата опубликования: 08.11.2024
Страница №576 из 791:
Увеличить