Официальное опубликование правовых актов
ОФИЦИАЛЬНОЕ ОПУБЛИКОВАНИЕ
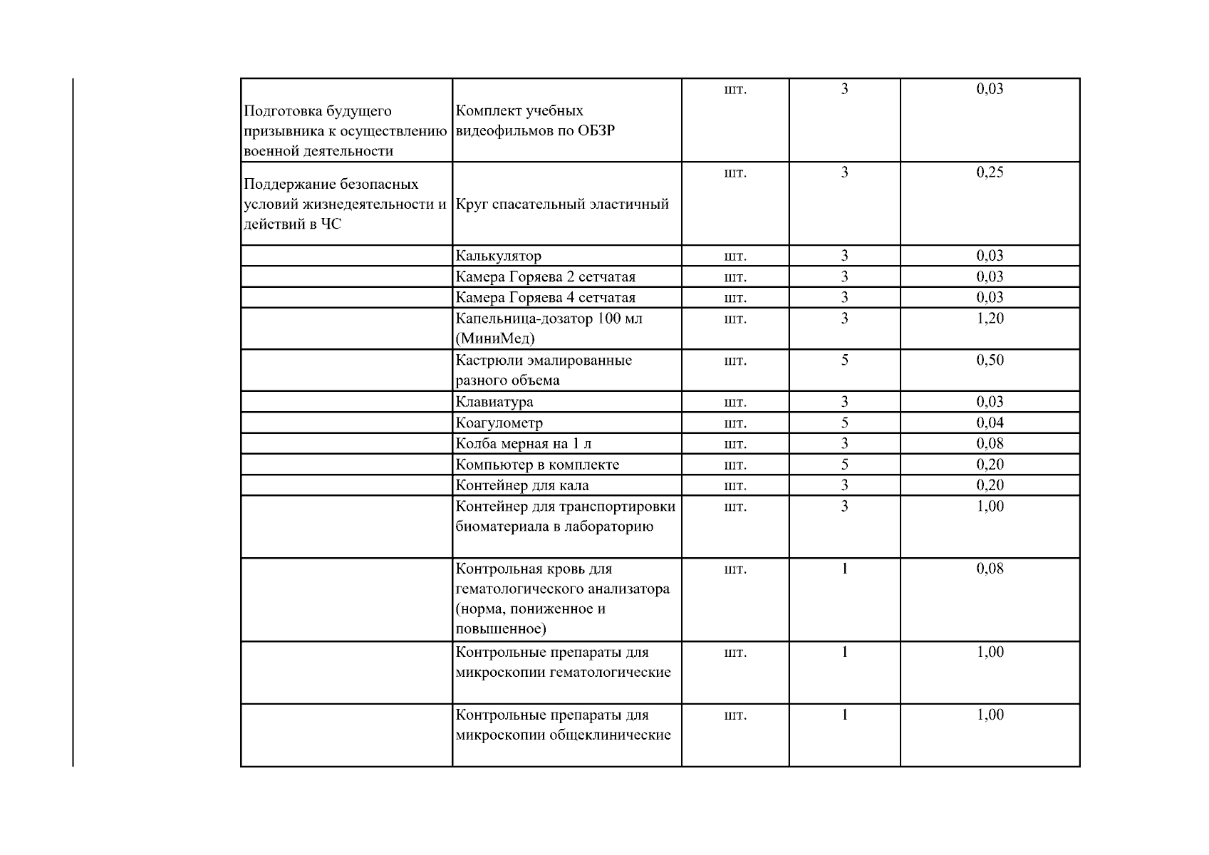
Приказ Министерства образования Самарской области от 22.10.2024 № 727-од "О внесении изменений в приказ министерства образования и науки Самарской области от 03.07.2013 № 283-од "Об утверждении Норм расходов материалов, инструментов, принадлежностей и инвентаря государственных профессиональных образовательных организаций, находящихся в ведении Самарской области, на одного обучающегося при подготовке по профессиям и специальностям"
(Зарегистрирован 22.10.2024 № МО-24-727)
Номер опубликования: 6301202410250015
Дата опубликования: 25.10.2024
Страница №1362 из 2250:
Увеличить