Официальное опубликование правовых актов
ОФИЦИАЛЬНОЕ ОПУБЛИКОВАНИЕ
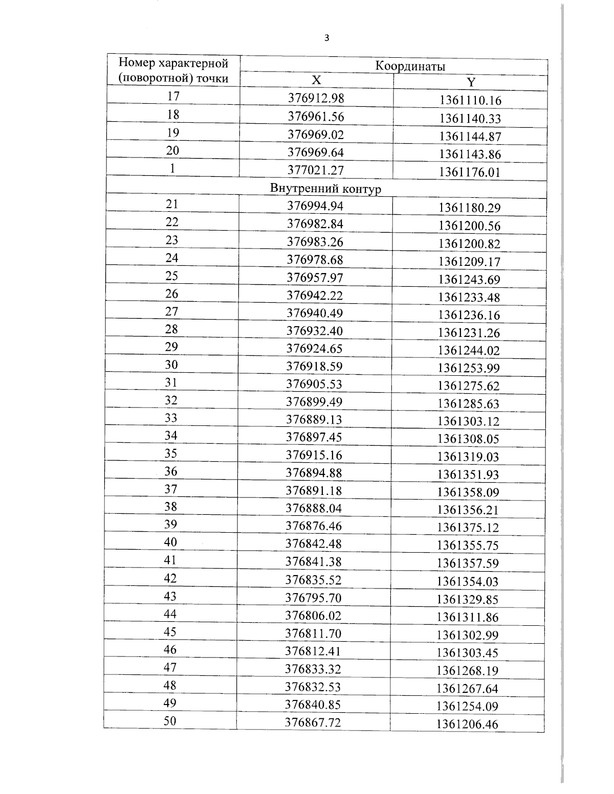
Приказ Управления государственной охраны объектов культурного наследия Самарской области от 24.10.2024 № 258 "Об утверждении границ зон охраны объекта культурного наследия регионального значения "Жилой дом", расположенного по адресу: г. Новокуйбышевск, ул. Советская, д. 2 / ул. Суворова, д. 43, режимов использования земель и требований к градостроительным регламентам в границах данных зон"
(Зарегистрирован 24.10.2024 № УГООКН 24258)
Номер опубликования: 6301202410250012
Дата опубликования: 25.10.2024
Страница №5 из 10:
Увеличить