Официальное опубликование правовых актов
ОФИЦИАЛЬНОЕ ОПУБЛИКОВАНИЕ
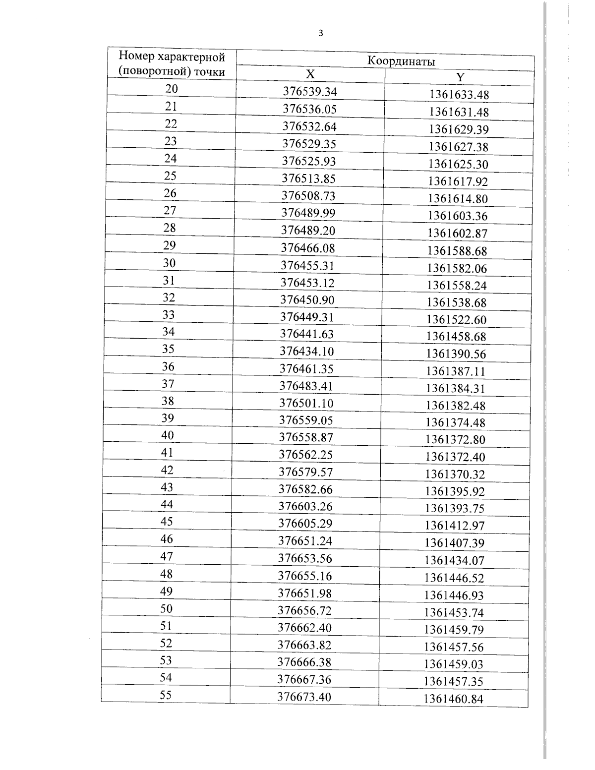
Приказ Управления государственной охраны объектов культурного наследия Самарской области от 24.10.2024 № 259 "Об утверждении границ зон охраны объекта культурного наследия регионального значения "Жилые дома с арками", расположенного по адресу: г. Новокуйбышевск, ул. Кутузова, д. 20/24, ул. Кутузова, д. 22, ул. Миронова, д. 1, ул. Фрунзе, д. 16, режимов использования земель и требований к градостроительным регламентам в границах данных зон"
(Зарегистрирован 24.10.2024 № УГООКН 24259)
Номер опубликования: 6301202410250011
Дата опубликования: 25.10.2024
Страница №5 из 10:
Увеличить