Официальное опубликование правовых актов
ОФИЦИАЛЬНОЕ ОПУБЛИКОВАНИЕ
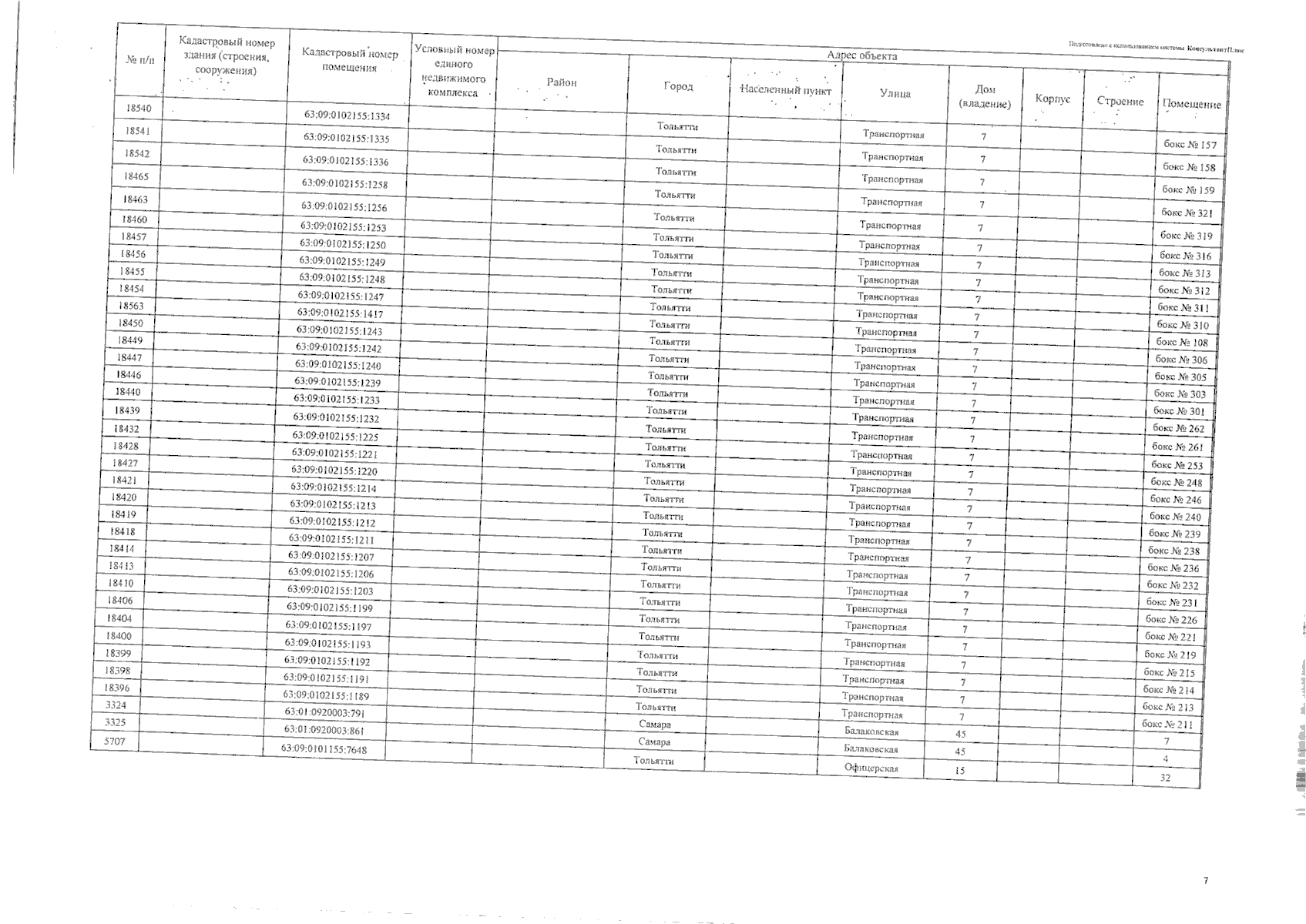
Приказ Министерства имущественных отношений Самарской области от 05.09.2024 № 1922
"О внесении изменений в приказ министерства имущественных отношений Самарской области от 08.11.2022 № 2077 "Об определении Перечня объектов недвижимого имущества, находящихся на территории Самарской области, в отношении которых налоговая база определяется как их кадастровая стоимость для целей налогообложения, на 2023 год"
(Зарегистрирован 05.09.2024 № МИО-24/1922)
Номер опубликования: 6301202409090001
Дата опубликования: 09.09.2024
Страница №20 из 20:
Увеличить