Официальное опубликование правовых актов
ОФИЦИАЛЬНОЕ ОПУБЛИКОВАНИЕ
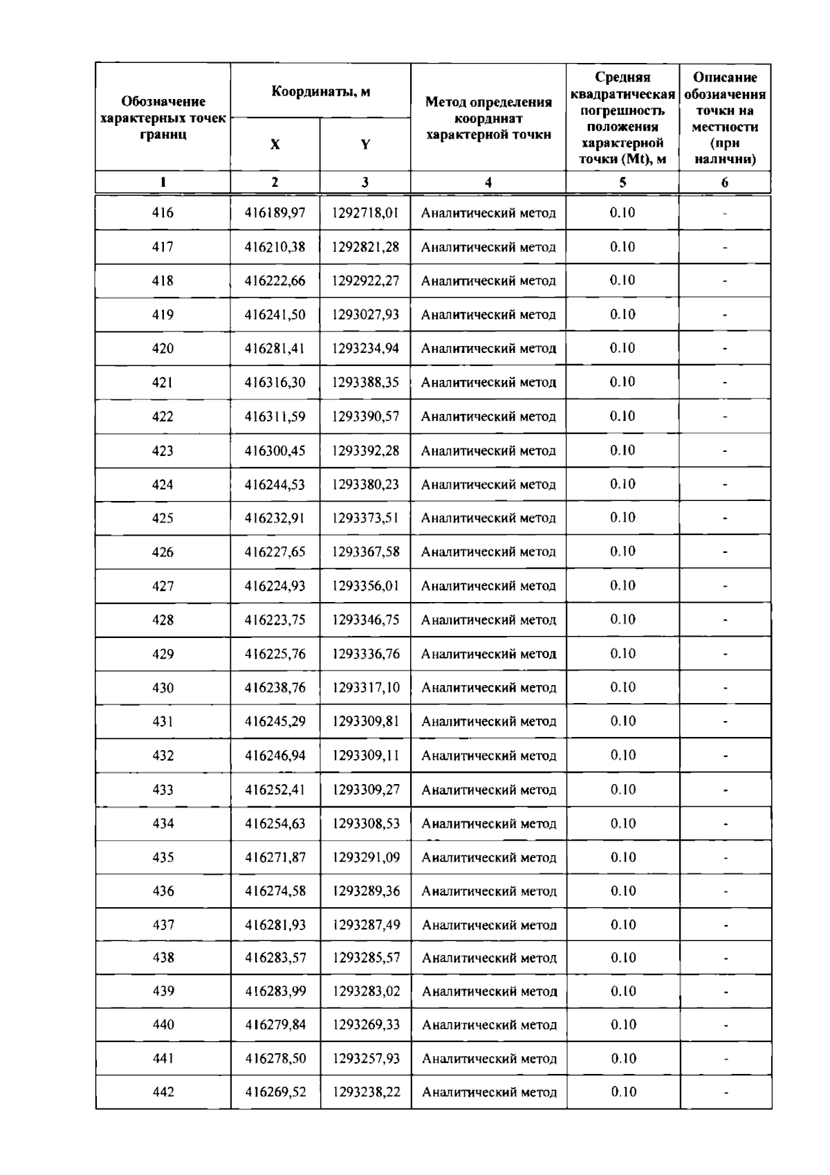
Приказ Министерства транспорта и автомобильных дорог Самарской области от 27.08.2024 № 232
"Об установлении зоны с особыми условиями использования территории – придорожной полосы автомобильной дороги общего пользования регионального значения в Самарской области Обход г. Тольятти с мостовым переходом через р. Волгу в составе международного транспортного маршрута "Европа – Западный Китай" III этап"
(Зарегистрирован 27.08.2024 № МТ-24-232)
Номер опубликования: 6301202409020002
Дата опубликования: 02.09.2024
Страница №38 из 51:
Увеличить