Официальное опубликование правовых актов
ОФИЦИАЛЬНОЕ ОПУБЛИКОВАНИЕ
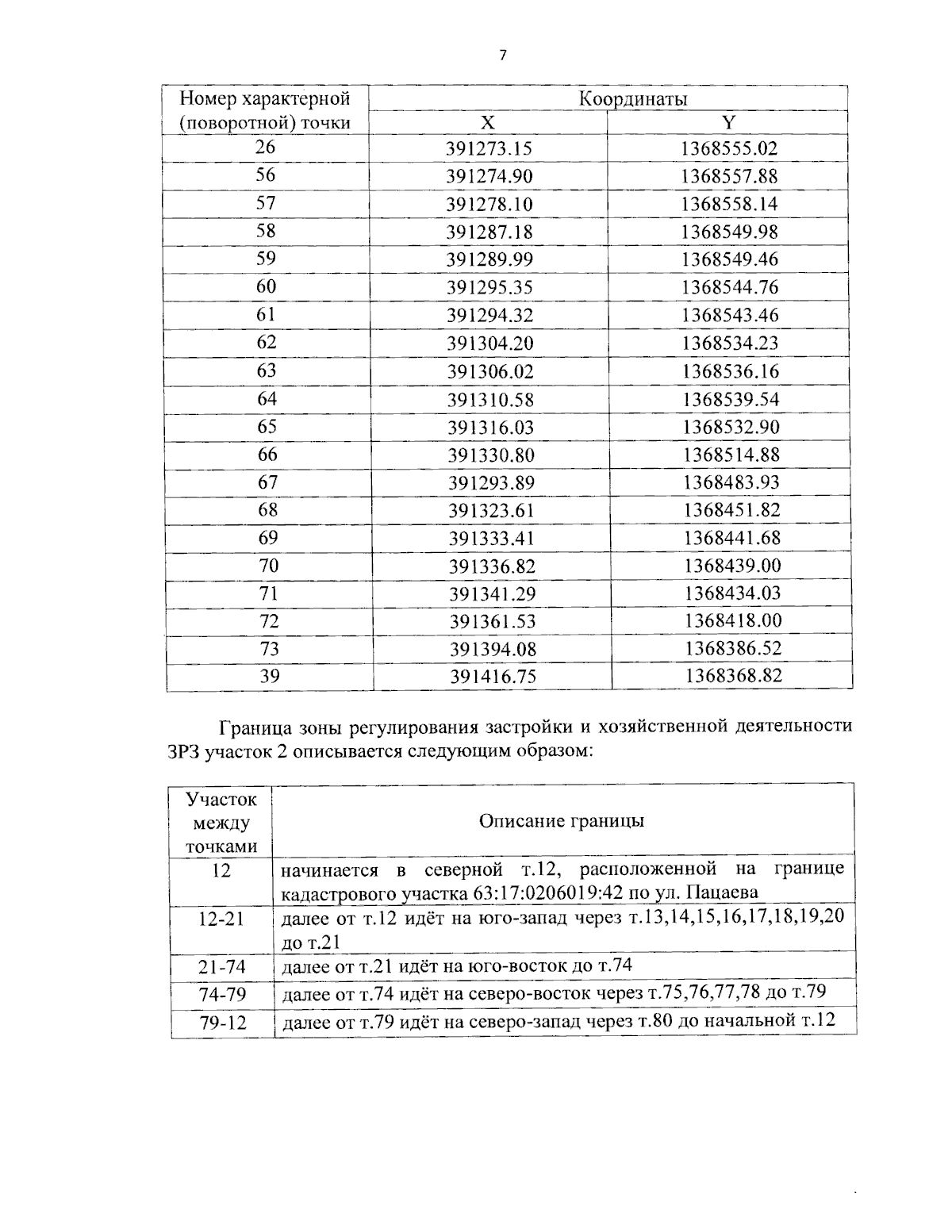
Приказ Управления государственной охраны объектов культурного наследия Самарской области от 05.06.2024 № 124
"Об утверждении границ территории и зон охраны объекта культурного наследия регионального значения "Церковь Рождества Христова", расположенного по адресу: Волжский район, c. Рождествено, ул. Совхозная, д. 9а, режимов использования земель и требований к градостроительным регламентам в границах данных зон"
(Зарегистрирован 05.06.2024 № УГООКН 24124)
Номер опубликования: 6301202406070008
Дата опубликования: 07.06.2024
Страница №9 из 28:
Увеличить