Официальное опубликование правовых актов
ОФИЦИАЛЬНОЕ ОПУБЛИКОВАНИЕ
Приказ Управления государственной охраны объектов культурного наследия Самарской области от 05.06.2024 № 125
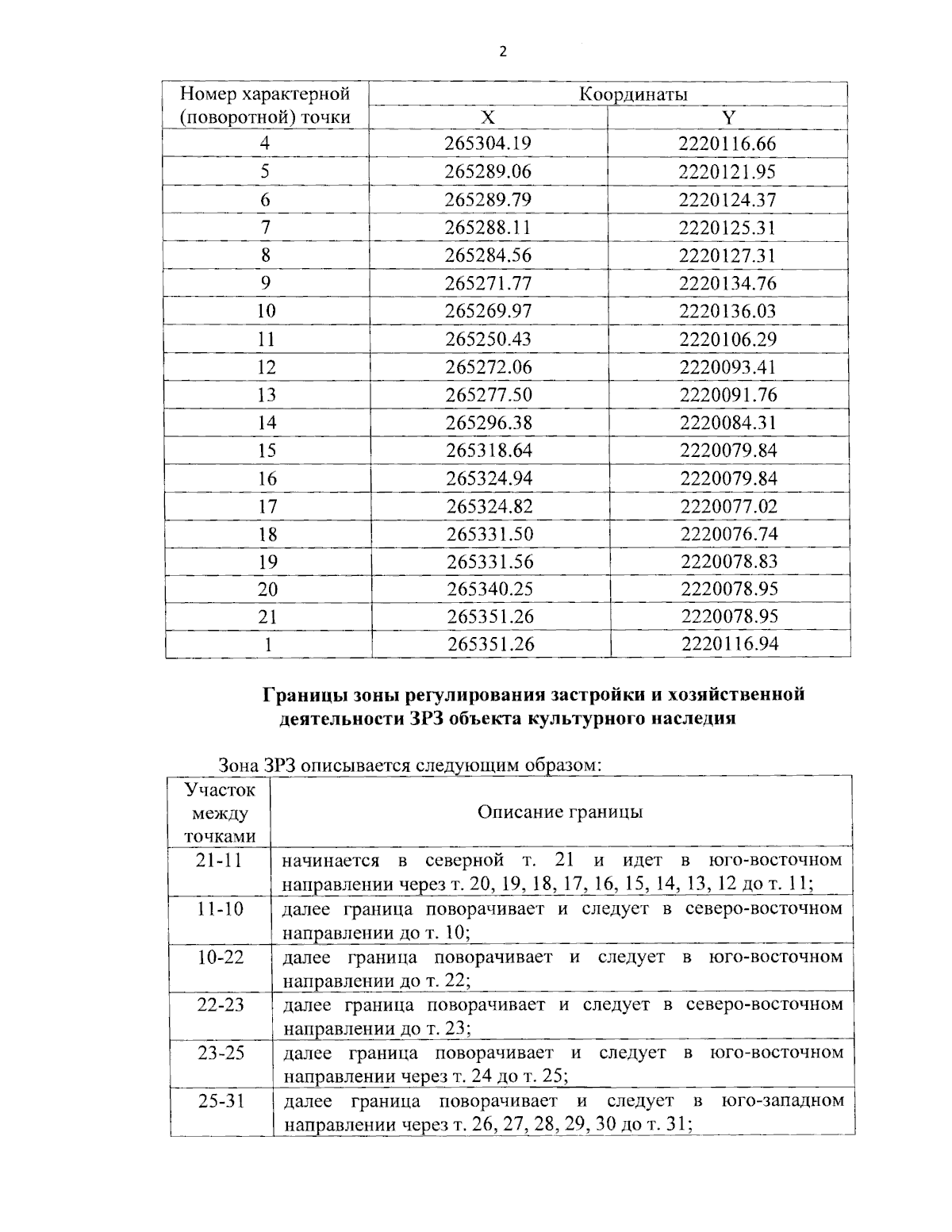
"Об утверждении границ зон охраны объекта культурного наследия регионального значения "Дом жилой, где в 1935-1937 годы проживала М.М. Костеловская", расположенного по адресу: Большечерниговский район, c. Большая Черниговка, ул. Советская, д. 132, режимов использования земель и требований к градостроительным регламентам в границах данных зон"
(Зарегистрирован 05.06.2024 № УГООКН 24125)
Номер опубликования: 6301202406070007
Дата опубликования: 07.06.2024
Страница №4 из 12:
Увеличить