Официальное опубликование правовых актов
ОФИЦИАЛЬНОЕ ОПУБЛИКОВАНИЕ
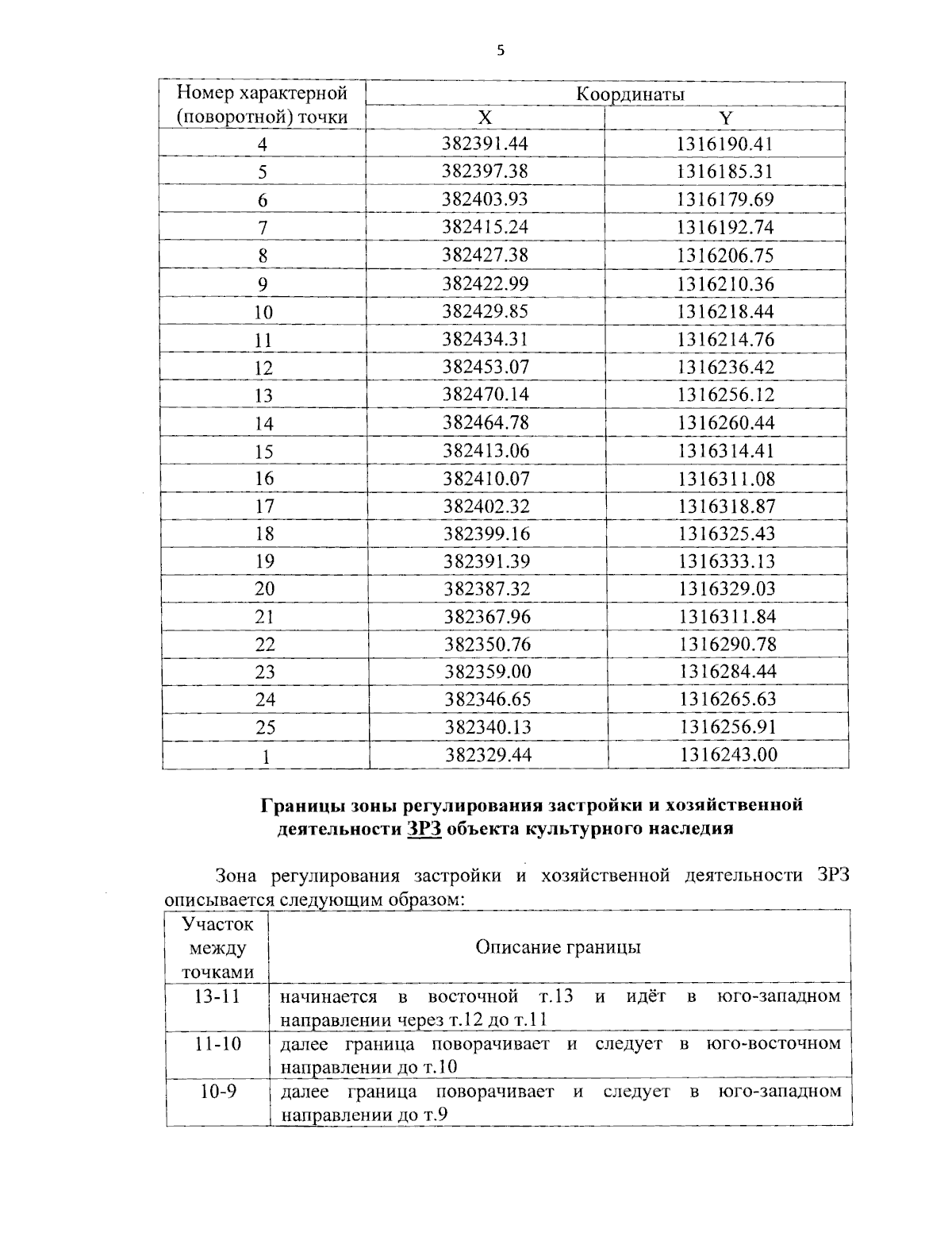
Приказ Управления государственной охраны объектов культурного наследия Самарской области от 05.06.2024 № 126
"Об утверждении границ территории и зон охраны объекта культурного наследия регионального значения "Церковь во имя иконы Казанской Божией Матери", расположенного по адресу: Безенчукский район, с. Кануевка, ул. Центральная, 92 б, режимов использования земель и требований к градостроительным регламентам в границах данных зон"
(Зарегистрирован 05.06.2024 № УГООКН 24126)
Номер опубликования: 6301202406070006
Дата опубликования: 07.06.2024
Страница №7 из 16:
Увеличить