Официальное опубликование правовых актов
ОФИЦИАЛЬНОЕ ОПУБЛИКОВАНИЕ
Приказ Управления государственной охраны объектов культурного наследия Самарской области от 06.06.2024 № 128
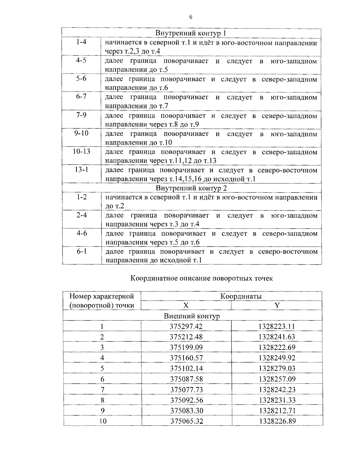
"Об утверждении границ территории и зон охраны объекта культурного наследия регионального значения "Дом священника", расположенного по адресу: Безенчукский район, с. Екатериновка, ул. Фрунзе, д. 74 б, режимов использования земель и требований к градостроительным регламентам в границах данных зон"
(Зарегистрирован 06.06.2024 № УГООКН 24128)
Номер опубликования: 6301202406070005
Дата опубликования: 07.06.2024
Страница №8 из 18:
Увеличить