Официальное опубликование правовых актов
ОФИЦИАЛЬНОЕ ОПУБЛИКОВАНИЕ
Приказ Управления государственной охраны объектов культурного наследия Самарской области от 06.06.2024 № 132
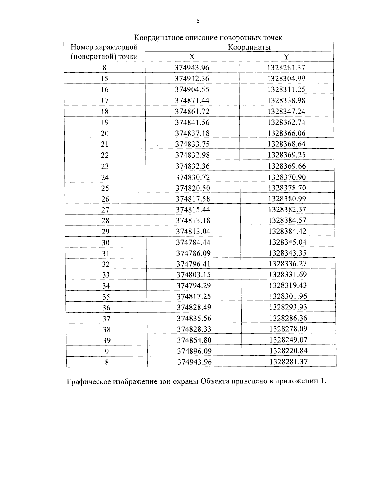
"Об утверждении границ территории и зон охраны объекта культурного наследия регионального значения "Дом А.П. Нечаева. В мае 1890 года В.И. Ульянов / Ленин / вместе с членами марксистского кружка, участниками "Жигулевской кругосветки" посетил село Екатериновку и был в этом доме", расположенного по адресу: Безенчукский район, с. Екатериновка, режимов использования земель и требований к градостроительным регламентам в границах данных зон"
(Зарегистрирован 06.06.2024 № УГООКН 24132)
Номер опубликования: 6301202406070001
Дата опубликования: 07.06.2024
Страница №8 из 15:
Увеличить