Официальное опубликование правовых актов
ОФИЦИАЛЬНОЕ ОПУБЛИКОВАНИЕ
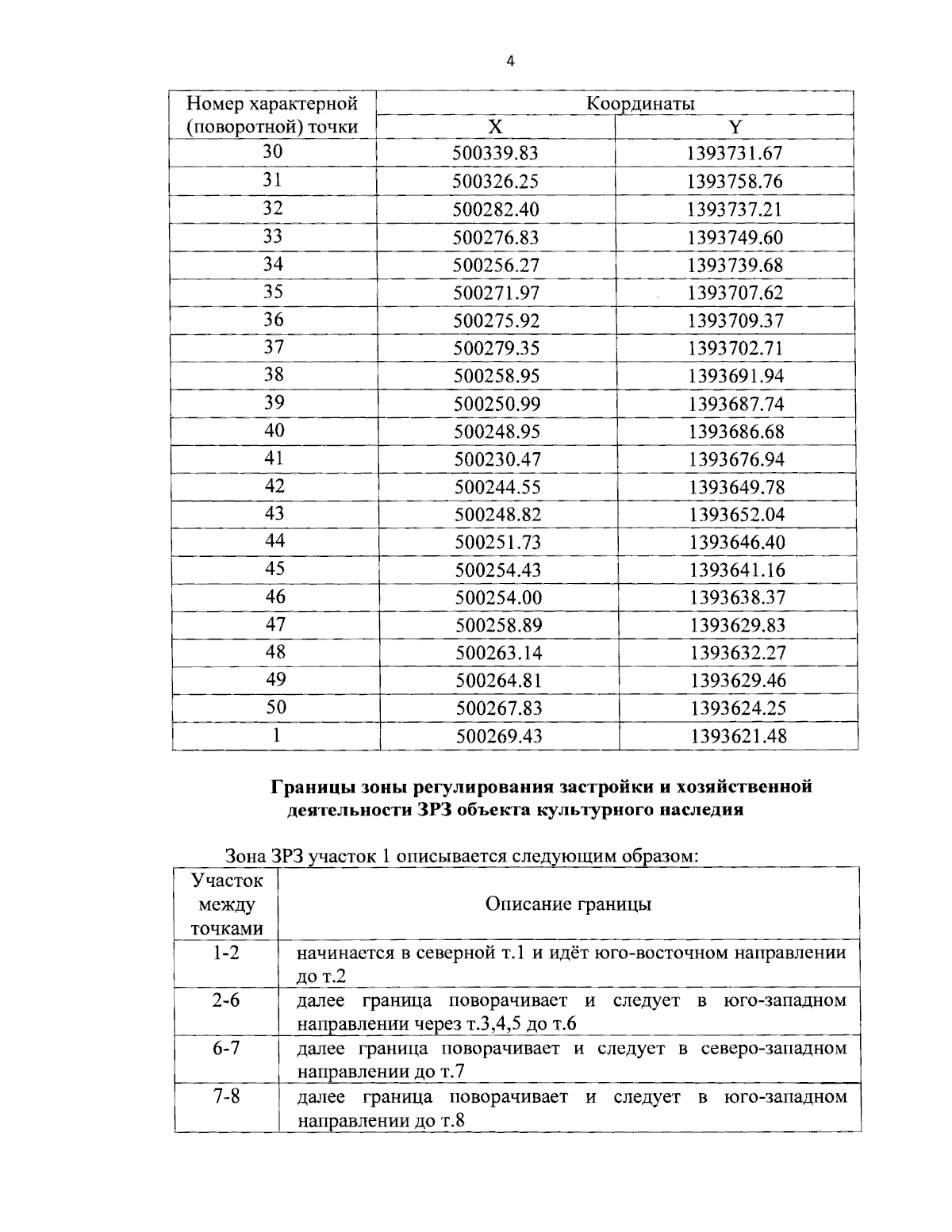
Приказ Управления государственной охраны объектов культурного наследия Самарской области от 28.05.2024 № 107
"Об утверждении границ зон охраны объекта культурного наследия регионального значения "Магазин купца Дика", расположенного по адресу: Кошкинский район, с. Кошки, ул. Лесная, 2а, литера А, режимов использования земель и требований к градостроительным регламентам в границах данных зон"
(Зарегистрирован 28.05.2024 № УГООКН 24107)
Номер опубликования: 6301202405290011
Дата опубликования: 29.05.2024
Страница №6 из 18:
Увеличить