Официальное опубликование правовых актов
ОФИЦИАЛЬНОЕ ОПУБЛИКОВАНИЕ
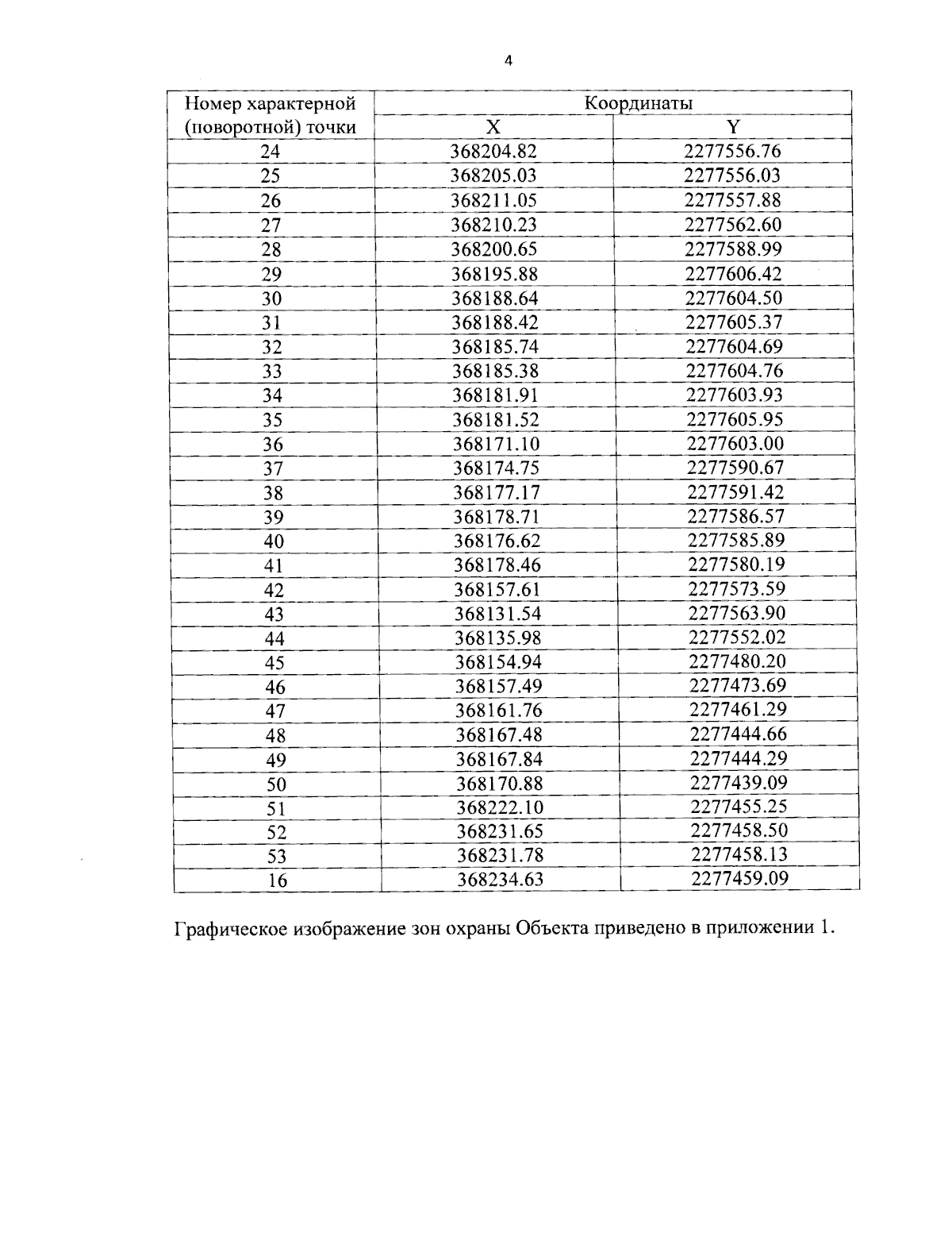
Приказ Управления государственной охраны объектов культурного наследия Самарской области от 28.05.2024 № 106
"Об утверждении границ зон охраны объекта культурного наследия регионального значения "Мануфактура Добрынина и питейная лавка Мжельского", расположенного по адресу: Борский район, с. Борское, ул. Демьяна Бедного, 3, режимов использования земель и требований к градостроительным регламентам в границах данных зон"
(Зарегистрирован 28.05.2024 № УГООКН 24106)
Номер опубликования: 6301202405290010
Дата опубликования: 29.05.2024
Страница №6 из 19:
Увеличить