Официальное опубликование правовых актов
ОФИЦИАЛЬНОЕ ОПУБЛИКОВАНИЕ
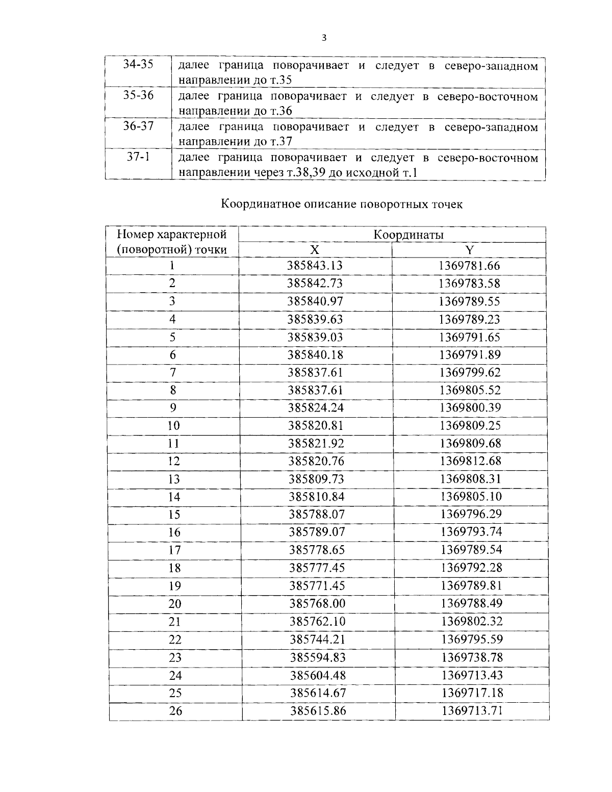
Приказ Управления государственной охраны объектов культурного наследия Самарской области от 22.05.2024 № 93
"Об утверждении границ зон охраны объекта культурного наследия регионального значения "Торгово-складские корпуса мельницы Башкировых с квартирами для служащих", расположенного по адресу: г. Самара, ул. Водников, д. 20 / ул. Крупской, д. 3, литеры АБ, режимов использования земель и требований к градостроительным регламентам в границах данных зон"
(Зарегистрирован 22.05.2024 № УГООКН 2493)
Номер опубликования: 6301202405230010
Дата опубликования: 23.05.2024
Страница №5 из 14:
Увеличить