Официальное опубликование правовых актов
ОФИЦИАЛЬНОЕ ОПУБЛИКОВАНИЕ
Приказ Министерства образования и науки Самарской области от 20.05.2024 № 312-од
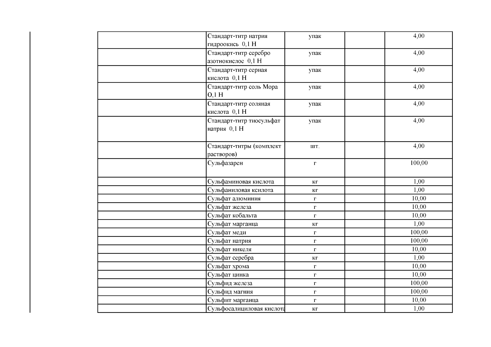
"О внесении изменений в приказ министерства образования и науки Самарской области от 03.07.2013 № 283-од "Об утверждении Норм расходов материалов, инструментов, принадлежностей и инвентаря государственных профессиональных образовательных организаций, находящихся в ведении Самарской области, на одного обучающегося при подготовке по профессиям и специальностям"
(Зарегистрирован 20.05.2024 № МО-24-312)
Номер опубликования: 6301202405210001
Дата опубликования: 21.05.2024
Страница №363 из 659:
Увеличить