Официальное опубликование правовых актов
ОФИЦИАЛЬНОЕ ОПУБЛИКОВАНИЕ
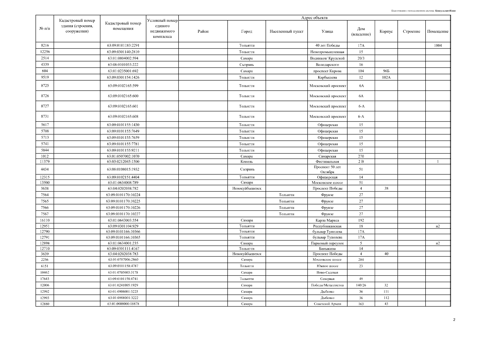
Приказ Министерства имущественных отношений Самарской области от 29.03.2024 № 616
"О внесении изменений в приказ министерства имущественных отношений Самарской области от 08.11.2022 № 2077 "Об определении Перечня объектов недвижимого имущества, находящихся на территории Самарской области, в отношении которых налоговая база определяется как их кадастровая стоимость для целей налогообложения, на 2023 год"
(Зарегистрирован 29.03.2024 № МИО-24/616)
Номер опубликования: 6301202404010004
Дата опубликования: 01.04.2024
Страница №26 из 28:
Увеличить