Официальное опубликование правовых актов
ОФИЦИАЛЬНОЕ ОПУБЛИКОВАНИЕ
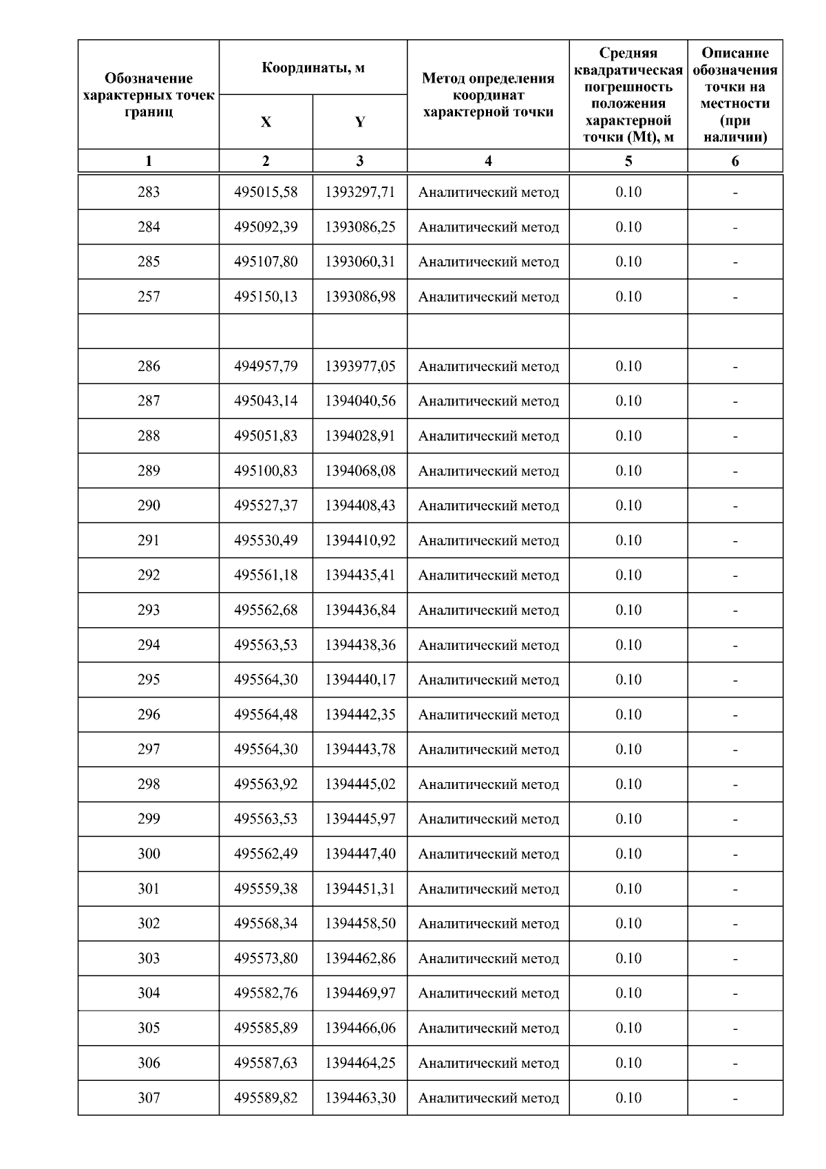
Приказ Министерства транспорта и автомобильных дорог Самарской области от 11.03.2024 № 61
"Об установлении зоны с особыми условиями использования территории – придорожной полосы автомобильной дороги общего пользования регионального значения в Самарской области Обходная с. Кошки, расположенной в муниципальном районе Кошкинский Самарской области"
(Зарегистрирован 11.03.2024 № МТ-24/61)
Номер опубликования: 6301202403120005
Дата опубликования: 12.03.2024
Страница №34 из 45:
Увеличить