Официальное опубликование правовых актов
ОФИЦИАЛЬНОЕ ОПУБЛИКОВАНИЕ
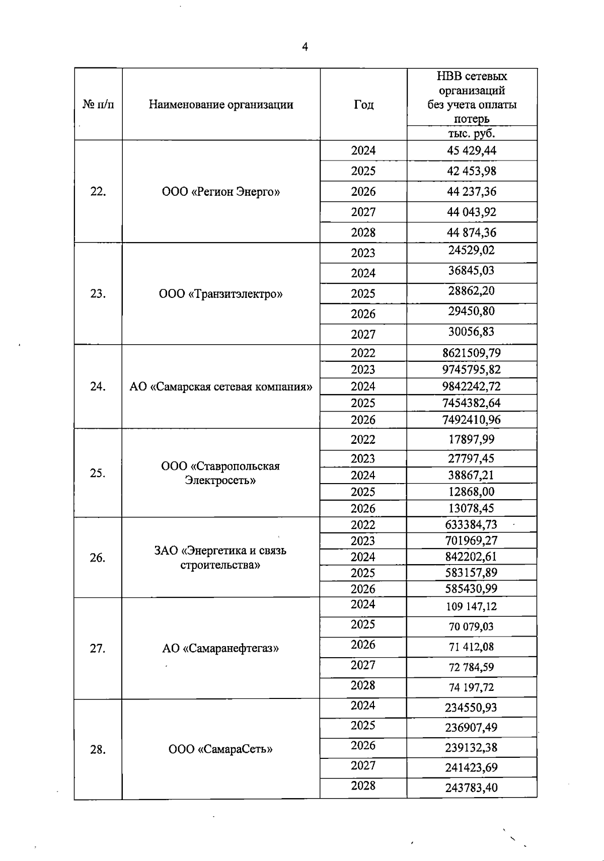
Приказ Департамента ценового и тарифного регулирования Самарской области от 29.11.2023 № 492
"О внесении изменений в приказ департамента ценового и тарифного регулирования Самарской области от 27.12.2019 № 867 "Об установлении необходимой валовой выручки территориальных сетевых организаций Самарской области на долгосрочный период регулирования"
(Зарегистрирован 29.11.2023 № ДЦТ-23-492)
Номер опубликования: 6301202311300006
Дата опубликования: 30.11.2023
Страница №6 из 7:
Увеличить