Официальное опубликование правовых актов
ОФИЦИАЛЬНОЕ ОПУБЛИКОВАНИЕ
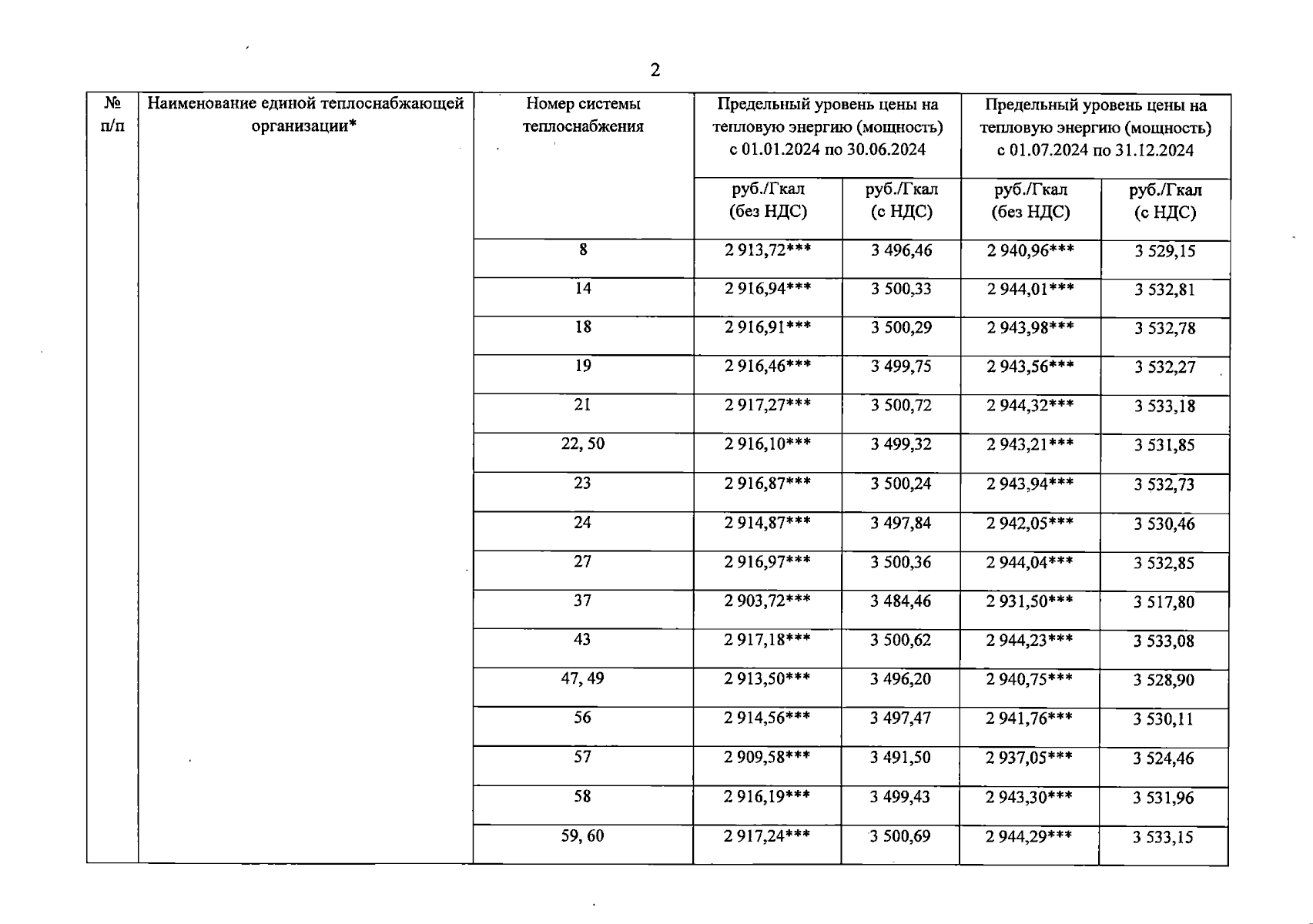
Приказ Департамента ценового и тарифного регулирования Самарской области от 10.11.2023 № 392
"Об установлении предельного уровня цены на тепловую энергию (мощность) в ценовой зоне теплоснабжения в муниципальном образовании городском округе Самара Самарской области на 2024 год"
(Зарегистрирован 10.11.2023 № ДЦТ-23-392)
Номер опубликования: 6301202311130007
Дата опубликования: 13.11.2023
Страница №5 из 9:
Увеличить