Официальное опубликование правовых актов
ОФИЦИАЛЬНОЕ ОПУБЛИКОВАНИЕ
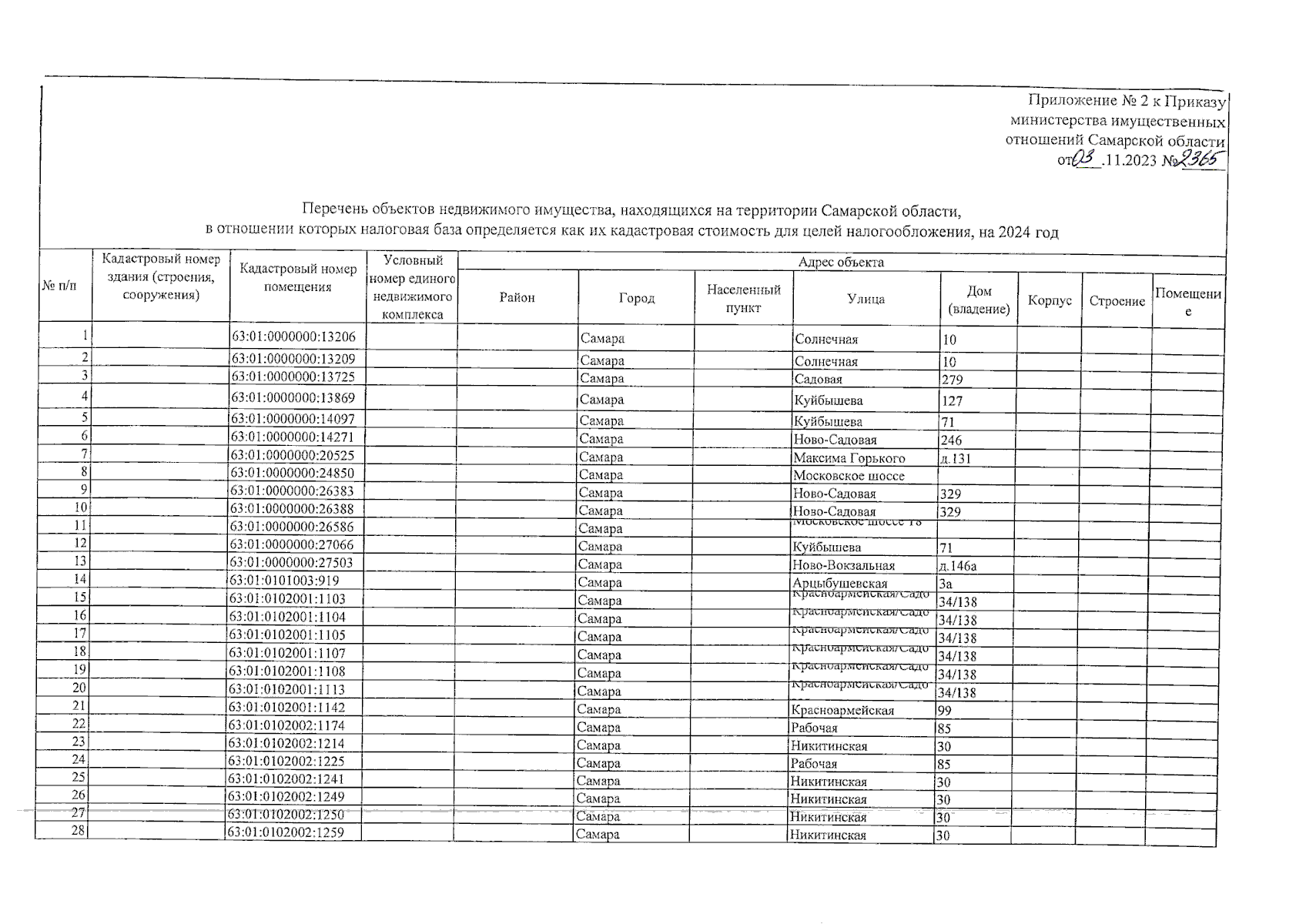
Приказ Министерства имущественных отношений Самарской области от 03.11.2023 № 2365
"Об определении Перечня объектов недвижимого имущества, находящихся на территории Самарской области, в отношении которых налоговая база определяется как их кадастровая стоимость для целей налогообложения, на 2024 год"
(Зарегистрирован 03.11.2023 № МИО-23/2365)
Номер опубликования: 6301202311070004
Дата опубликования: 07.11.2023
Страница №5 из 6:
Увеличить