Официальное опубликование правовых актов
ОФИЦИАЛЬНОЕ ОПУБЛИКОВАНИЕ
Приказ Департамента ветеринарии Самарской области от 19.10.2023 № 704-п
"Об установлении ограничительных мероприятий (карантина) на территории села Смольково сельского поселения Ключи муниципального района Исаклинский Самарской области"
(Зарегистрирован 19.10.2023 № ДВ-23-704)
Номер опубликования: 6301202310250028
Дата опубликования: 25.10.2023
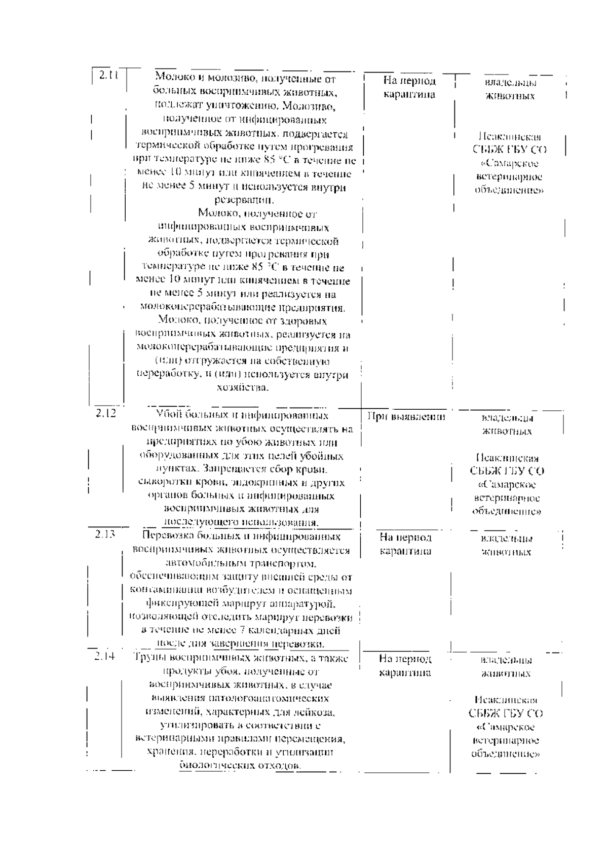
Страница №8 из 10:
Увеличить