Официальное опубликование правовых актов
ОФИЦИАЛЬНОЕ ОПУБЛИКОВАНИЕ
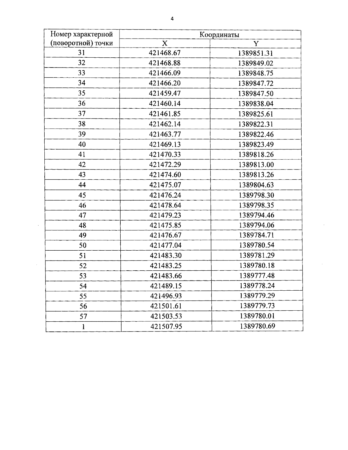
Приказ Управления государственной охраны объектов культурного наследия Самарской области от 12.10.2023 № 383
"Об утверждении границ зон охраны объекта культурного наследия регионального значения "Дом купца Захарова", расположенного по адресу: Красноярский район, с. Красный Яр, ул. Кооперативная, 100, режимов использования земель и требований к градостроительным регламентам в границах данных зон"
(Зарегистрирован 12.10.2023 № УГООКН 23383)
Номер опубликования: 6301202310170009
Дата опубликования: 17.10.2023
Страница №6 из 17:
Увеличить