Официальное опубликование правовых актов
ОФИЦИАЛЬНОЕ ОПУБЛИКОВАНИЕ
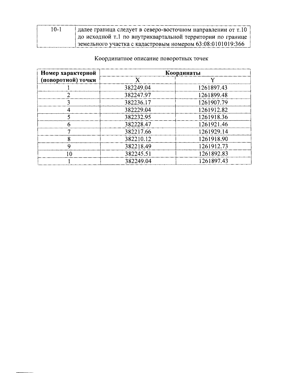
Приказ Управления государственной охраны объектов культурного наследия Самарской области от 11.10.2023 № 377
"Об утверждении границ территорий объектов культурного наследия регионального значения, расположенных на территории городского округа Сызрань Самарской области, режимов использования земель в границах данных территорий"
(Зарегистрирован 11.10.2023 № УГООКН 23377)
Номер опубликования: 6301202310120011
Дата опубликования: 12.10.2023
Страница №7 из 10:
Увеличить