Официальное опубликование правовых актов
ОФИЦИАЛЬНОЕ ОПУБЛИКОВАНИЕ
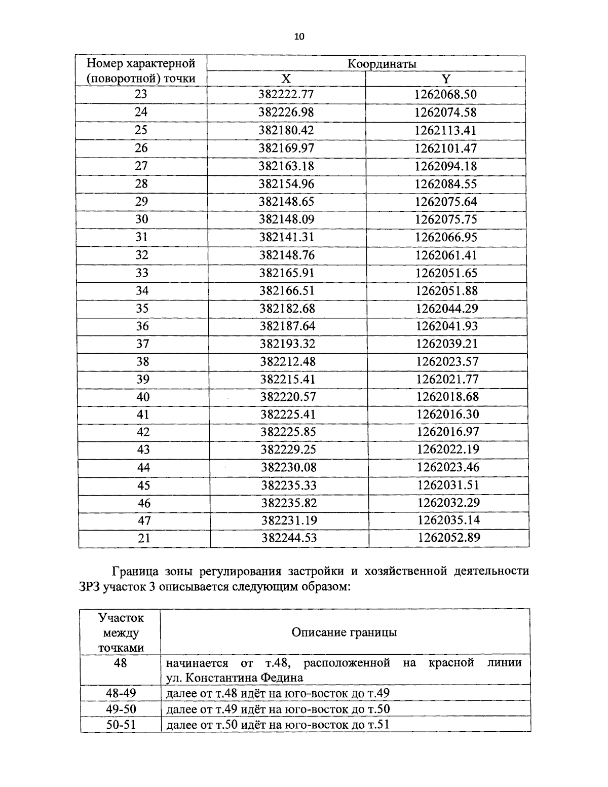
Приказ Управления государственной охраны объектов культурного наследия Самарской области от 10.10.2023 № 369
"Об утверждении границ территории и зон охраны объекта культурного наследия регионального значения "Дом мещанина Мясникова С.И.", расположенного по адресу: г. Сызрань, ул. Советская, 42, режимов использования земель и требований к градостроительным регламентам в границах данных зон"
(Зарегистрирован 10.10.2023 № УГООКН 23369)
Номер опубликования: 6301202310120003
Дата опубликования: 12.10.2023
Страница №12 из 28:
Увеличить