Официальное опубликование правовых актов
ОФИЦИАЛЬНОЕ ОПУБЛИКОВАНИЕ
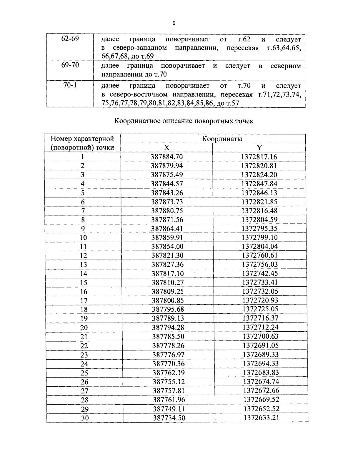
Приказ Управления государственной охраны объектов культурного наследия Самарской области от 20.09.2023 № 333
"Об утверждении границ территории и зон охраны объекта культурного наследия регионального значения "Дом надворного советника А.В. Кавского с воротами", расположенного по адресу: г. Самара, ул. Буянова, 104, литеры А, А1, а, режимов использования земель и требований к градостроительным регламентам в границах данных зон"
(Зарегистрирован 20.09.2023 № УГООКН 23333)
Номер опубликования: 6301202309210005
Дата опубликования: 21.09.2023
Страница №9 из 20:
Увеличить