Официальное опубликование правовых актов
ОФИЦИАЛЬНОЕ ОПУБЛИКОВАНИЕ
Приказ Управления государственной охраны объектов культурного наследия Самарской области от 20.09.2023 № 334
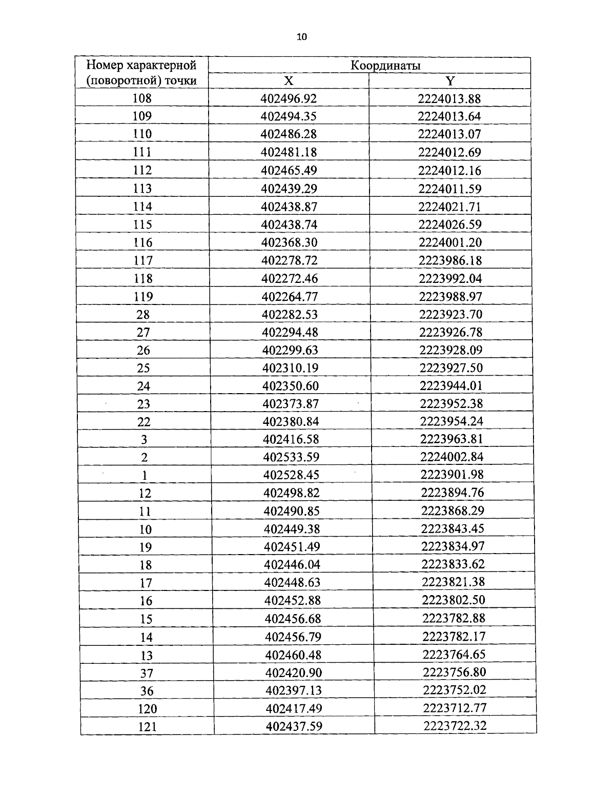
"Об утверждении границ территории и зон охраны объекта культурного наследия регионального значения "Дом, в усадьбе В.И. Чарыкова, отца жены Н.Г. Гарина-Михайловского, в котором часто бывал писатель", расположенного по адресу: Кинельский район, с. Богдановка, детдом № 19, режимов использования земель и требований к градостроительным регламентам в границах данных зон"
(Зарегистрирован 20.09.2023 № УГООКН 23334)
Номер опубликования: 6301202309210001
Дата опубликования: 21.09.2023
Страница №12 из 22:
Увеличить