Официальное опубликование правовых актов
ОФИЦИАЛЬНОЕ ОПУБЛИКОВАНИЕ
Приказ Управления государственной охраны объектов культурного наследия Самарской области от 12.09.2023 № 317
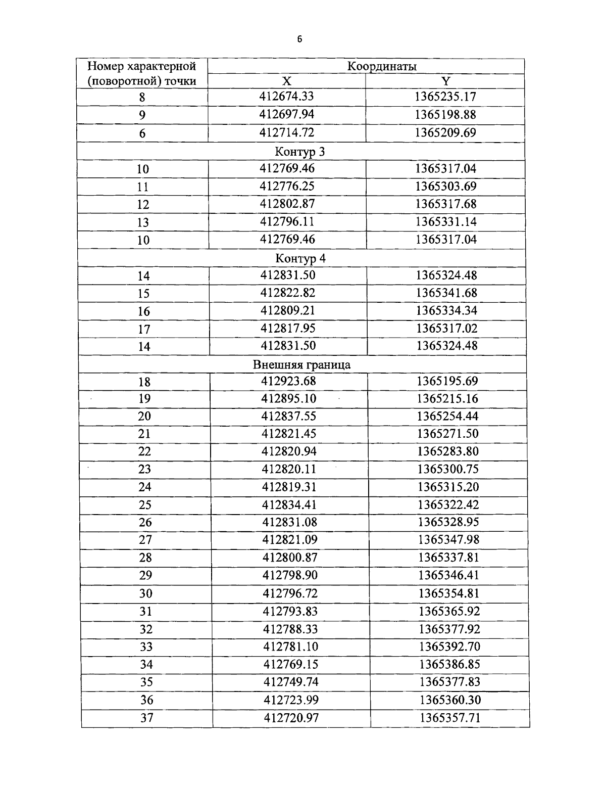
"Об утверждении границ территории и зон охраны объекта культурного наследия регионального значения "Известковый завод Ванюшина (комплекс): дымовая труба; корпус известкового завода; дом управляющего известковым заводом; хозяйственная постройка", расположенного по адресу: г.о. Жигулевск, с. Ширяево, ул. Набережная, 14, б/н; ул. Заводская, 5, режимов использования земель и требований к градостроительным регламентам в границах данных зон"
(Зарегистрирован 12.09.2023 № УГООКН 23317)
Номер опубликования: 6301202309130011
Дата опубликования: 13.09.2023
Страница №8 из 16:
Увеличить