Приказ Управления государственной охраны объектов культурного наследия Самарской области от 29.08.2023 № 284
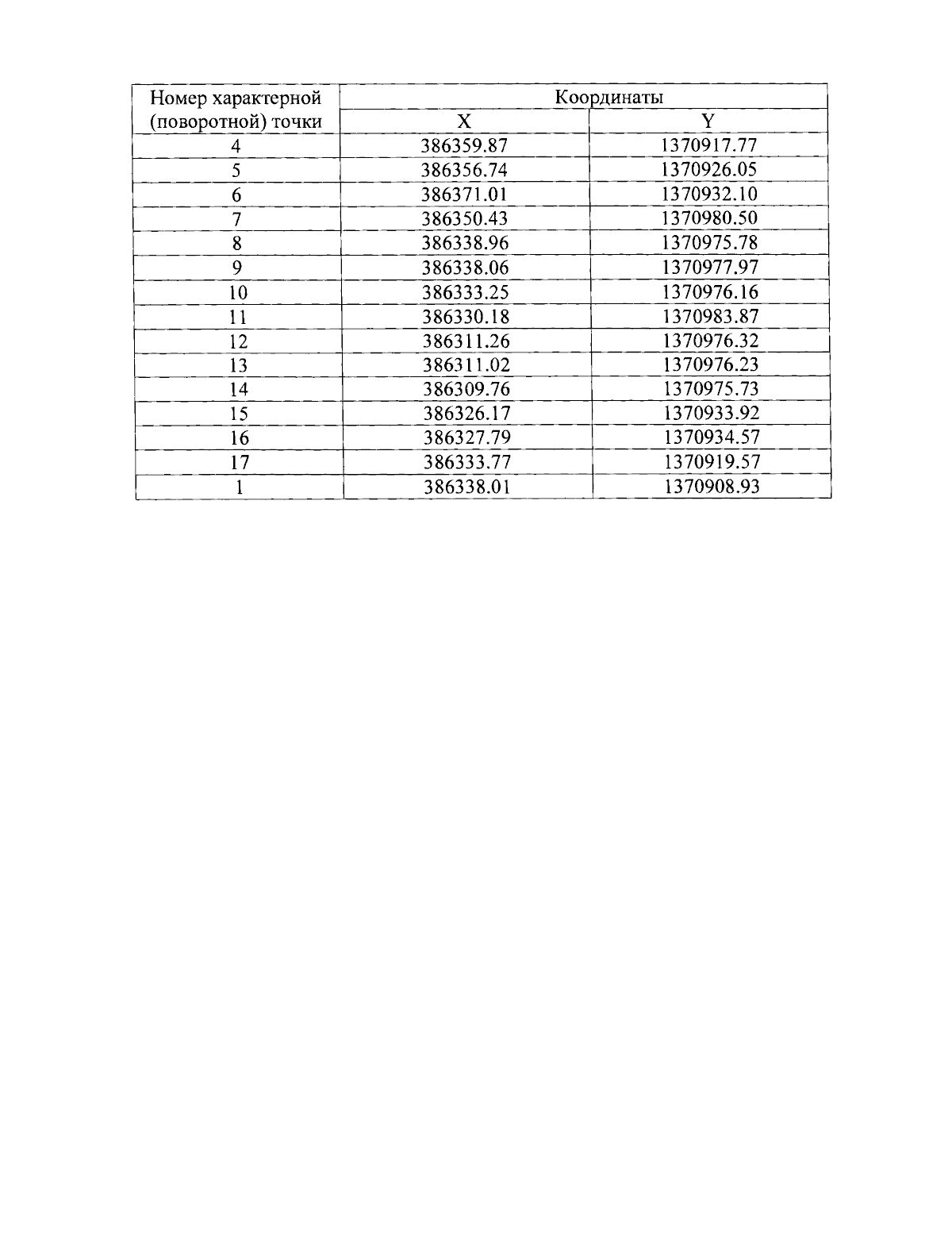
"Об утверждении границ территории объекта культурного наследия федерального значения "Дом Неклютиной, 1850-е гг. – 1910-е гг. Дом, в котором в 1918 г. помещался клуб коммунистов и в июне 1918 г. был штаб обороны г. Самара", расположенного по адресу: г. Самара, ул. Венцека, 48, литера А, режимов использования земель в границах данной территории"
(Зарегистрирован 29.08.2023 № УГООКН23284)
"Об утверждении границ территории объекта культурного наследия федерального значения "Дом Неклютиной, 1850-е гг. – 1910-е гг. Дом, в котором в 1918 г. помещался клуб коммунистов и в июне 1918 г. был штаб обороны г. Самара", расположенного по адресу: г. Самара, ул. Венцека, 48, литера А, режимов использования земель в границах данной территории"
(Зарегистрирован 29.08.2023 № УГООКН23284)
Номер опубликования: 6301202309010009
Дата опубликования:
01.09.2023
