Официальное опубликование правовых актов
ОФИЦИАЛЬНОЕ ОПУБЛИКОВАНИЕ
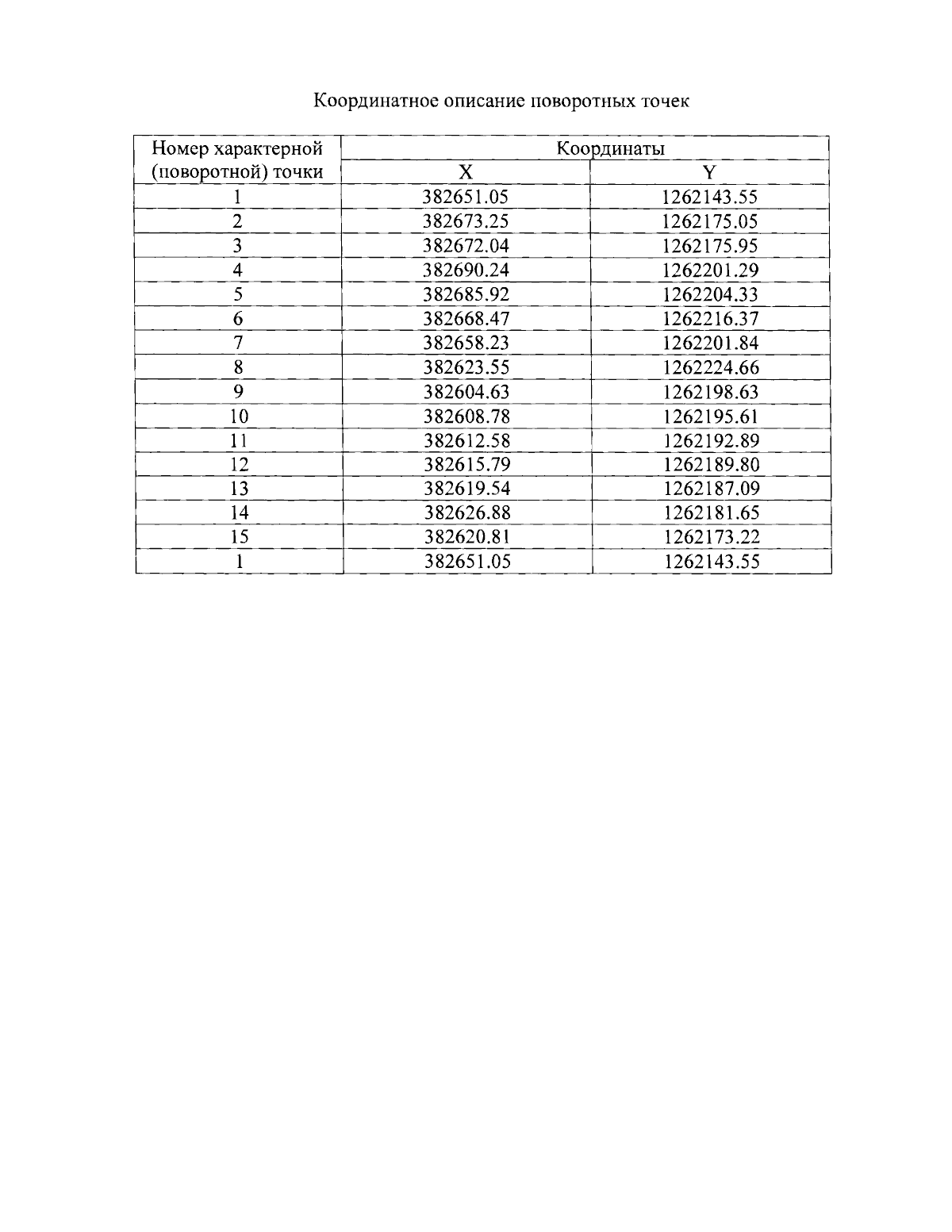
Приказ Управления государственной охраны объектов культурного наследия Самарской области от 30.08.2023 № 287
"Об утверждении границ территорий объектов культурного наследия федерального значения, расположенных на территории городского округа Сызрань Самарской области, режимов использования земель в границах данных территорий"
(Зарегистрирован 30.08.2023 № УГООКН23287)
Номер опубликования: 6301202309010004
Дата опубликования: 01.09.2023
Страница №13 из 16:
Увеличить