Официальное опубликование правовых актов
ОФИЦИАЛЬНОЕ ОПУБЛИКОВАНИЕ
Приказ Управления государственной охраны объектов культурного наследия Самарской области от 29.08.2023 № 286
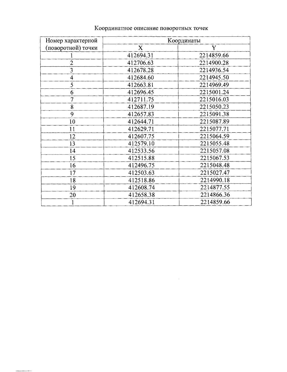
"Об утверждении границ территории объекта культурного наследия федерального значения "Дом, в котором жил Ленин Владимир Ильич в 1889 г.", расположенного по адресу: Кинельский район, с. Алакаевка, режимов использования земель в границах данной территории"
(Зарегистрирован 29.08.2023 № УГООКН23286)
Номер опубликования: 6301202309010001
Дата опубликования: 01.09.2023
Страница №4 из 7:
Увеличить