Официальное опубликование правовых актов
ОФИЦИАЛЬНОЕ ОПУБЛИКОВАНИЕ
Приказ Управления государственной охраны объектов культурного наследия Самарской области от 29.08.2023 № 282
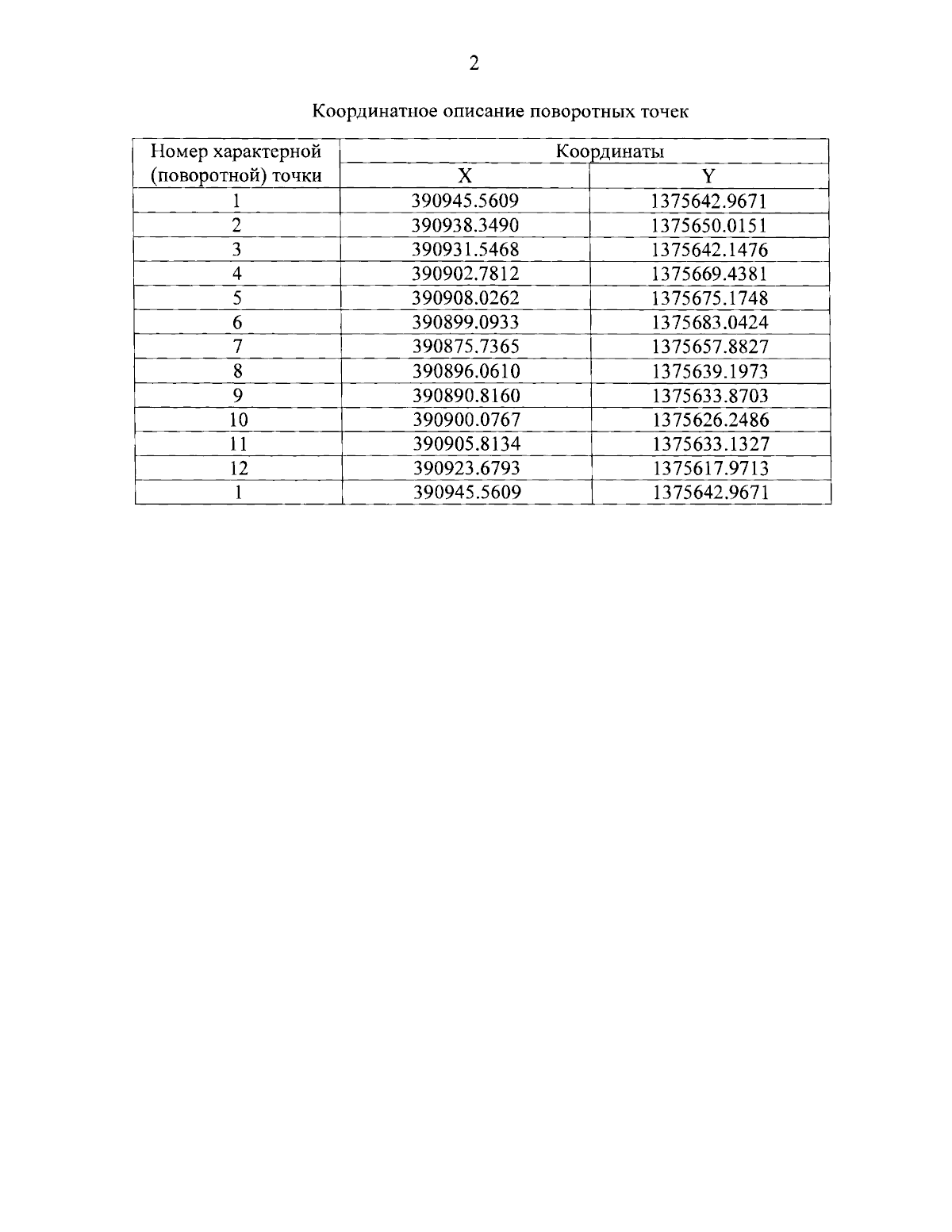
"Об утверждении границ территории объекта культурного наследия регионального значения "Здание, бывшей кумысолечебницы Н.В. Постникова", расположенного по адресу: г. Самара, ул. Ново-Садовая, 154, режимов использования земель в границах данной территории"
(Зарегистрирован 29.08.2023 № УГООКН23282)
Номер опубликования: 6301202308310002
Дата опубликования: 31.08.2023
Страница №5 из 10:
Увеличить