Приказ Управления государственной охраны объектов культурного наследия Самарской области от 29.08.2023 № 283
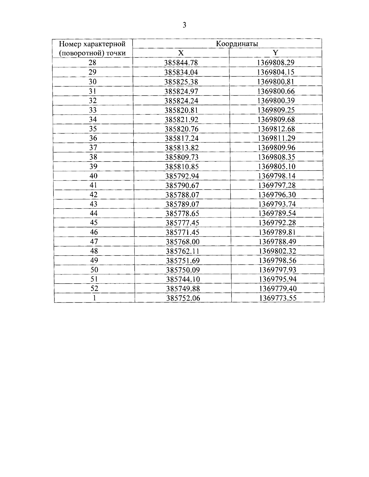
"Об утверждении границ территории объекта культурного наследия регионального значения "Крупчатая паровая мукомольная мельница Торгового дома "Емельян Башкиров с С-ми", арх. А.А. Щербачев", расположенного по адресу: г. Самара, ул. Крупской, д. 1, литеры А, А1, А2, Д, Е, З, З1, З2, К, К1, К2, К3, К4, К5, К7, режимов использования земель в границах данной территории"
(Зарегистрирован 29.08.2023 № УГООКН23283)
"Об утверждении границ территории объекта культурного наследия регионального значения "Крупчатая паровая мукомольная мельница Торгового дома "Емельян Башкиров с С-ми", арх. А.А. Щербачев", расположенного по адресу: г. Самара, ул. Крупской, д. 1, литеры А, А1, А2, Д, Е, З, З1, З2, К, К1, К2, К3, К4, К5, К7, режимов использования земель в границах данной территории"
(Зарегистрирован 29.08.2023 № УГООКН23283)
Номер опубликования: 6301202308310001
Дата опубликования:
31.08.2023
