Официальное опубликование правовых актов
ОФИЦИАЛЬНОЕ ОПУБЛИКОВАНИЕ
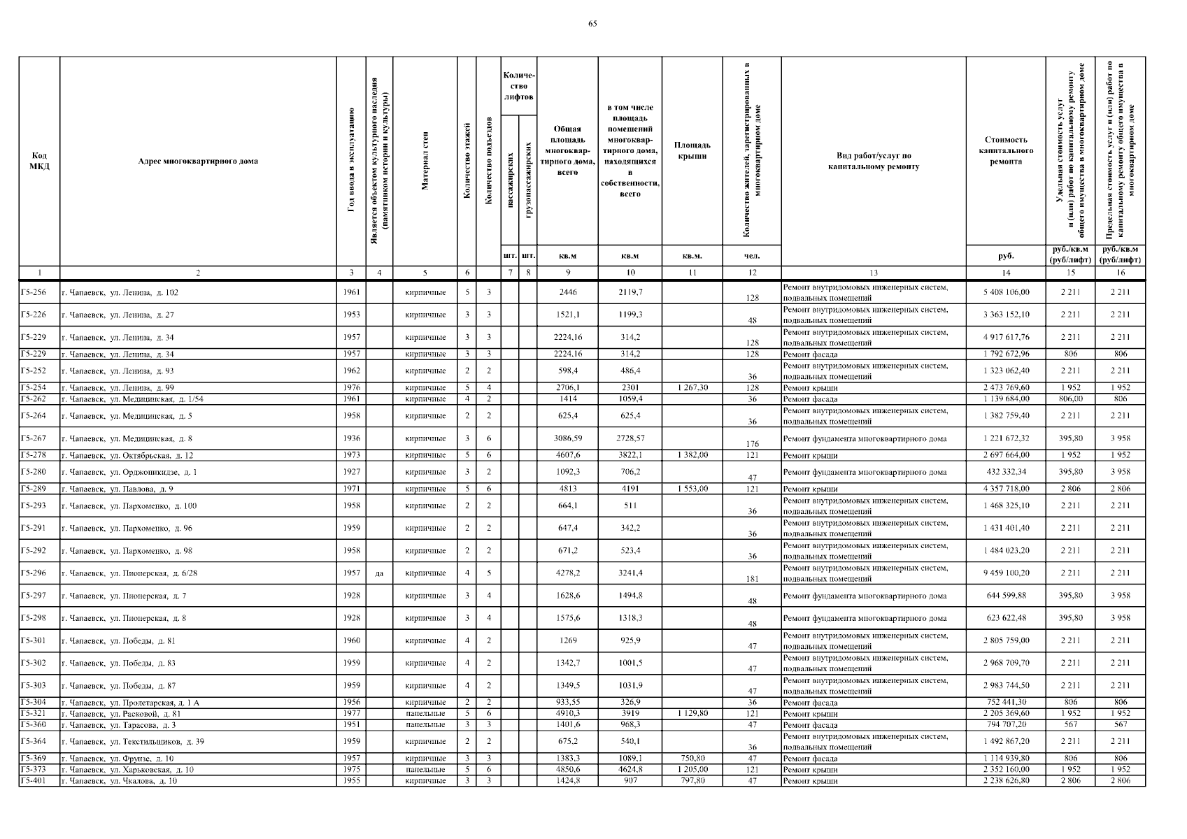
Приказ Министерства энергетики и жилищно-коммунального хозяйства Самарской области от 14.08.2023 № 133
"О внесении изменений в приказ министерства энергетики и жилищно-коммунального хозяйства Самарской области от 28.12.2020 № 267 "Об утверждении регионального краткосрочного плана реализации региональной программы капитального ремонта общего имущества в многоквартирных домах, расположенных на территории Самарской области, на 2021 – 2023 годы"
(Зарегистрирован 14.08.2023 № МЭЖКХ-23-133)
Номер опубликования: 6301202308160002
Дата опубликования: 16.08.2023
Страница №67 из 108:
Увеличить