Официальное опубликование правовых актов
ОФИЦИАЛЬНОЕ ОПУБЛИКОВАНИЕ
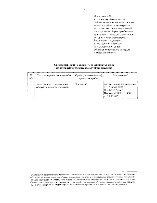
Приказ Управления государственной охраны объектов культурного наследия Самарской области от 19.07.2023 № 231
"Об утверждении охранного обязательства собственника или иного законного владельца объекта культурного наследия регионального значения "Гостиница-дача "Белокаменная", расположенного по адресу: Самарская область, г. Тольятти, ул. Комзина, д. 8а"
(Зарегистрирован 19.07.2023 № УГООКН23231)
Номер опубликования: 6301202307210003
Дата опубликования: 21.07.2023
Страница №10 из 15:
Увеличить