Официальное опубликование правовых актов
ОФИЦИАЛЬНОЕ ОПУБЛИКОВАНИЕ
Приказ Министерства энергетики и жилищно-коммунального хозяйства Самарской области от 26.05.2023 № 84
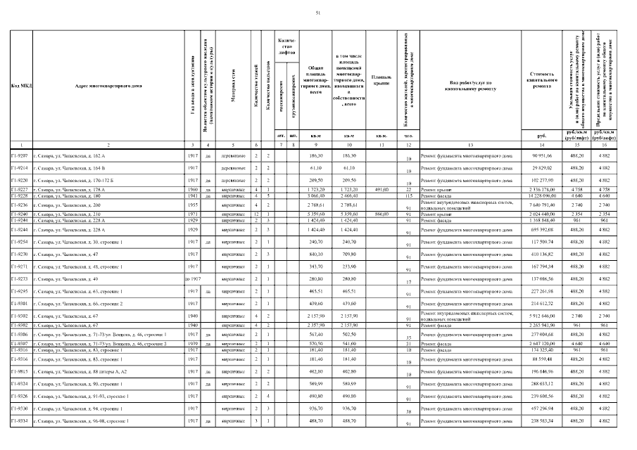
"О внесении изменений в приказ министерства энергетики и жилищно-коммунального хозяйства Самарской области от 28.12.2022 № 279 "Об утверждении регионального краткосрочного плана реализации региональной программы капитального ремонта общего имущества в многоквартирных домах, расположенных на территории Самарской области, на 2023 – 2025 годы"
(Зарегистрирован 26.05.2023 № МЭЖКХ-23-84)
Номер опубликования: 6301202305300002
Дата опубликования: 30.05.2023
Страница №53 из 108:
Увеличить