Официальное опубликование правовых актов
ОФИЦИАЛЬНОЕ ОПУБЛИКОВАНИЕ
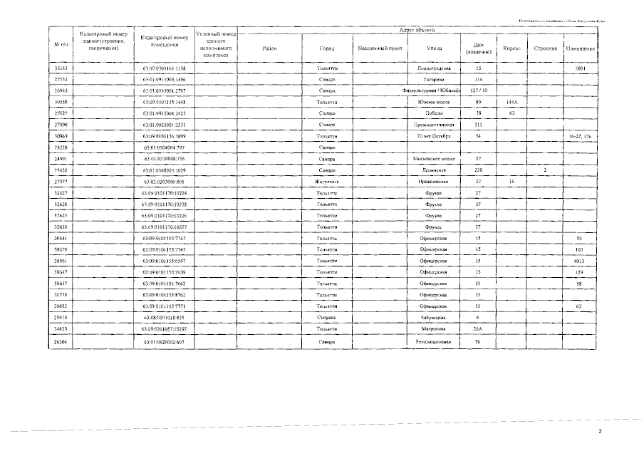
Приказ Министерства имущественных отношений Самарской области от 22.05.2023 № 1028
"О внесении изменений в приказ министерства имущественных отношений Самарской области от 07.10.2019 № 2201 "Об определении Перечня объектов недвижимого имущества, находящихся на территории Самарской области, в отношении которых налоговая база определяется как их кадастровая стоимость для целей налогообложения, на 2020 год"
(Зарегистрирован 22.05.2023 № МИО-23/1028)
Номер опубликования: 6301202305230001
Дата опубликования: 23.05.2023
Страница №10 из 10:
Увеличить