Официальное опубликование правовых актов
ОФИЦИАЛЬНОЕ ОПУБЛИКОВАНИЕ
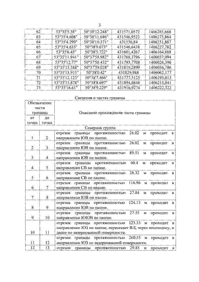
Приказ Управления государственной охраны объектов культурного наследия Самарской области от 04.04.2023 № 117
"Об утверждении границ территории объекта археологического наследия федерального значения "Двадцать пять курганов", режимов использования земельных участков в границах данной территории"
(Зарегистрирован 04.04.2023 № УГООКН 23117)
Номер опубликования: 6301202304050002
Дата опубликования: 05.04.2023
Страница №5 из 14:
Увеличить