Официальное опубликование правовых актов
ОФИЦИАЛЬНОЕ ОПУБЛИКОВАНИЕ
Приказ Министерства имущественных отношений Самарской области от 19.12.2022 № 2426
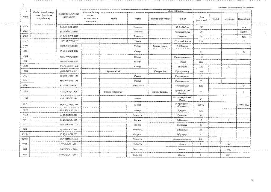
"О внесении изменений в приказ министерства имущественных отношений Самарской области от 22.10.2021 № 2233 "Об определении Перечня объектов недвижимого имущества, находящихся на территории Самарской области, в отношении которых налоговая база определяется как их кадастровая стоимость для целей налогообложения, на 2022 год"
Номер опубликования: 6301202212210010
Дата опубликования: 21.12.2022
Страница №17 из 17:
Увеличить