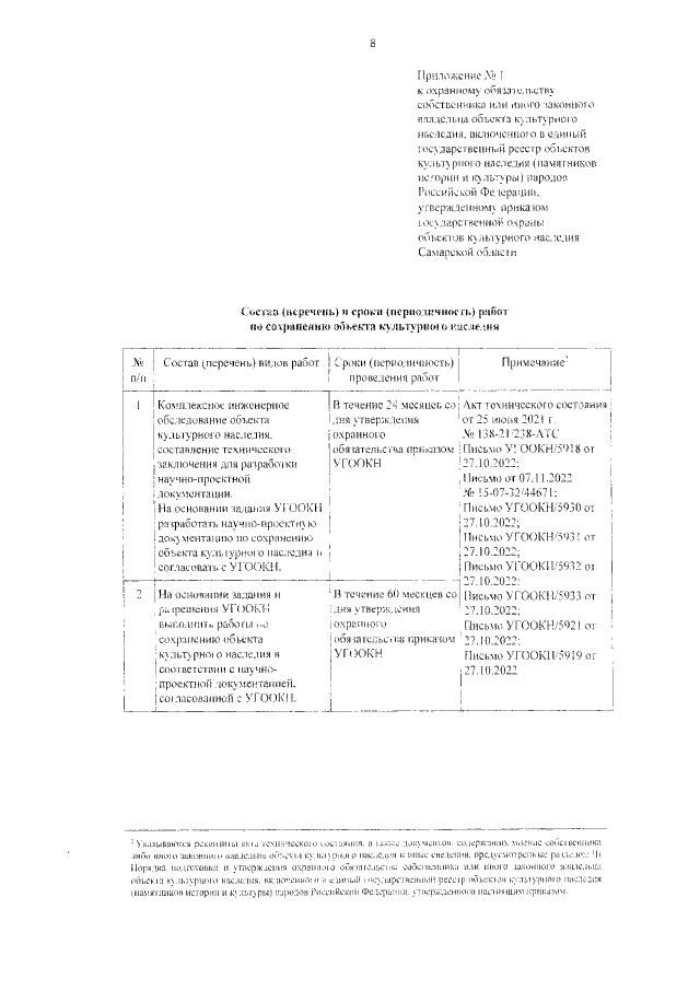
Приказ Управления государственной охраны объектов культурного наследия Самарской области от 13.12.2022 № 388
"Об утверждении охранного обязательства собственника или иного законного владельца объекта культурного наследия регионального значения "Дом Калачева", расположенного по адресу: г. Самара, ул. Куйбышева, 83"
"Об утверждении охранного обязательства собственника или иного законного владельца объекта культурного наследия регионального значения "Дом Калачева", расположенного по адресу: г. Самара, ул. Куйбышева, 83"
Номер опубликования: 6301202212150007
Дата опубликования:
15.12.2022
