Официальное опубликование правовых актов
ОФИЦИАЛЬНОЕ ОПУБЛИКОВАНИЕ
Приказ Министерства образования и науки Самарской области от 28.11.2022 № 716-од
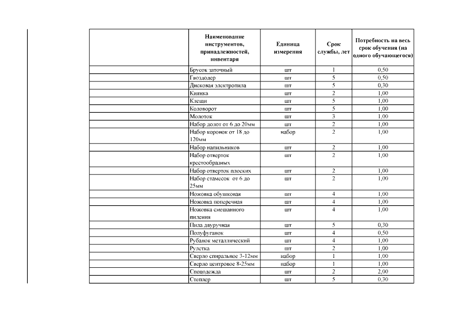
"О внесении изменений в приказ министерства образования и науки Самарской области от 03.07.2013 № 283-од "Об утверждении Норм расходов материалов, инструментов, принадлежностей и инвентаря государственных профессиональных образовательных организаций, находящихся в ведении Самарской области, на одного обучающегося при подготовке по профессиям и специальностям"
Номер опубликования: 6301202212010001
Дата опубликования: 01.12.2022
Страница №485 из 497:
Увеличить