Официальное опубликование правовых актов
ОФИЦИАЛЬНОЕ ОПУБЛИКОВАНИЕ
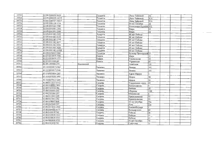
Приказ Министерства имущественных отношений Самарской области от 08.11.2022 № 2077
"Об определении Перечня объектов недвижимого имущества, находящихся на территории Самарской области, в отношении которых налоговая база определяется как их кадастровая стоимость для целей налогообложения, на 2023 год"
Номер опубликования: 6301202211090011
Дата опубликования: 09.11.2022
Страница №6 из 6:
Увеличить