Официальное опубликование правовых актов
ОФИЦИАЛЬНОЕ ОПУБЛИКОВАНИЕ
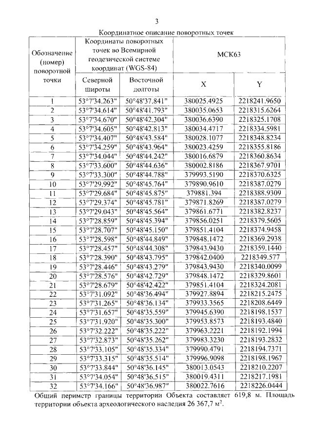
Приказ Управления государственной охраны объектов культурного наследия Самарской области от 21.09.2022 № 282
"Об утверждении границ территории выявленного объекта археологического наследия "Михайловский II. Курганный могильник", режимов использования земельных участков в границах данной территории"
Номер опубликования: 6301202209210003
Дата опубликования: 21.09.2022
Страница №5 из 8:
Увеличить