Официальное опубликование правовых актов
ОФИЦИАЛЬНОЕ ОПУБЛИКОВАНИЕ
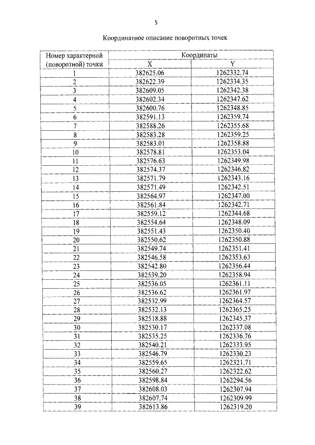
Приказ Управления государственной охраны объектов культурного наследия Самарской области от 06.09.2022 № 233
"Об утверждении границ территории и зон охраны объекта культурного наследия регионального значения "Дом мещанина Сапожникова И.К.", расположенного по адресу: Самарская область, г. Сызрань, ул. Советская, 61, режимов использования земель и требований к градостроительным регламентам в границах данных зон"
Номер опубликования: 6301202209070001
Дата опубликования: 07.09.2022
Страница №7 из 17:
Увеличить