Официальное опубликование правовых актов
ОФИЦИАЛЬНОЕ ОПУБЛИКОВАНИЕ
Приказ Управления государственной охраны объектов культурного наследия Самарской области от 30.08.2022 № 225
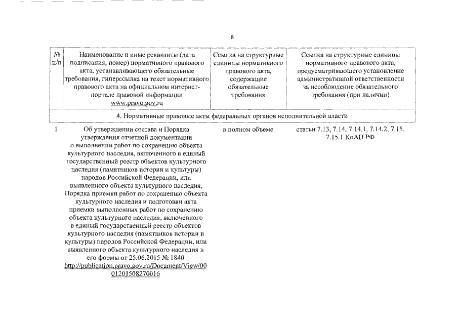
"О внесении изменений в приказ управления государственной охраны объектов культурного наследия Самарской области от 27.12.2021 № 269 "Об утверждении перечня актов, содержащих обязательные требования, соблюдение которых оценивается при осуществлении регионального государственного контроля (надзора) в области охраны объектов культурного наследия и о признании утратившим силу приказа управления государственной охраны объектов культурного наследия Самарской области от 20.11.2018 № 107 "Об утверждении перечня актов, содержащих обязательные требования, соблюдение которых оценивается при осуществлении федерального и регионального государственного надзора за состоянием, содержанием, сохранением, использованием, популяризацией и государственной охраной объектов культурного наследия, расположенных на территории Самарской области"
Номер опубликования: 6301202209010010
Дата опубликования: 01.09.2022
Страница №10 из 16:
Увеличить