Официальное опубликование правовых актов
ОФИЦИАЛЬНОЕ ОПУБЛИКОВАНИЕ
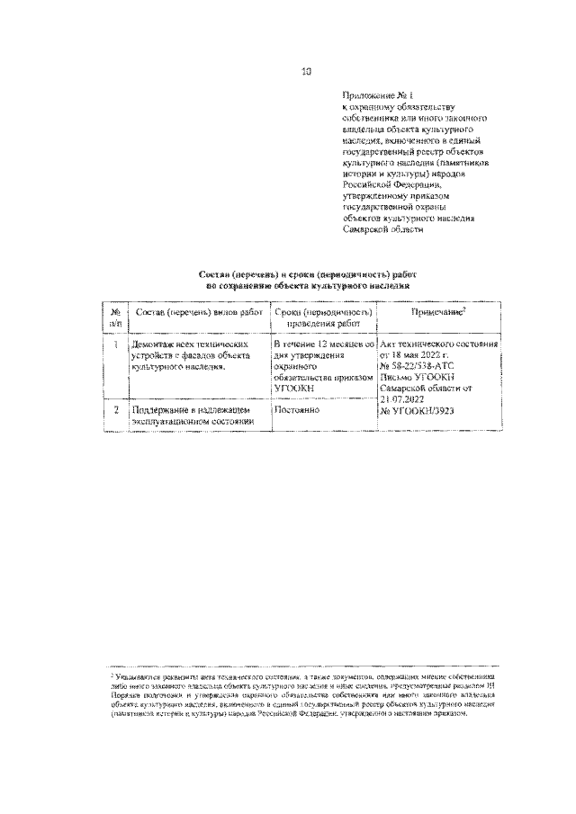
Приказ Управления государственной охраны объектов культурного наследия Самарской области от 29.08.2022 № 214
"Об утверждении охранного обязательства собственника или иного законного владельца объекта культурного наследия регионального значения "Дом и лавка купцов Карякиных", расположенного по адресу: Самарская область, Борский район, с. Борское, ул. Ленинградская, 48а"
Номер опубликования: 6301202208310007
Дата опубликования: 31.08.2022
Страница №10 из 15:
Увеличить