Официальное опубликование правовых актов
ОФИЦИАЛЬНОЕ ОПУБЛИКОВАНИЕ
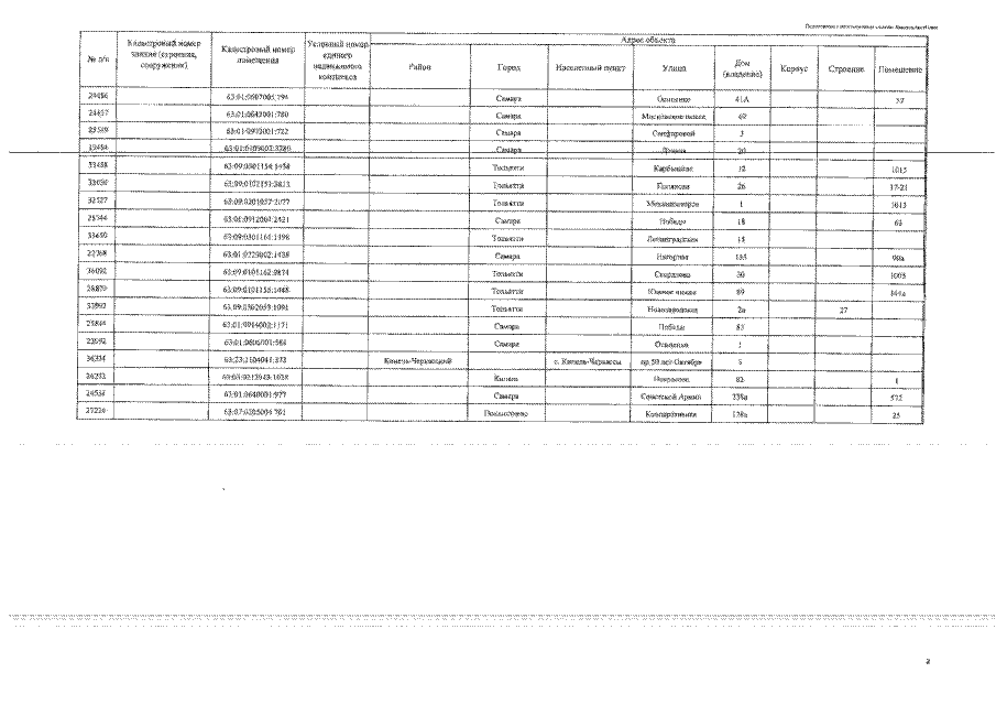
Приказ Министерства имущественных отношений Самарской области от 12.08.2022 № 1414
"О внесении изменений в приказ министерства имущественных отношений Самарской области от 19.10.2020 № 2014 "Об определении Перечня объектов недвижимого имущества, находящихся на территории Самарской области, в отношении которых налоговая база определяется как их кадастровая стоимость для целей налогообложения, на 2021 год"
Номер опубликования: 6301202208160001
Дата опубликования: 16.08.2022
Страница №14 из 14:
Увеличить