Официальное опубликование правовых актов
ОФИЦИАЛЬНОЕ ОПУБЛИКОВАНИЕ
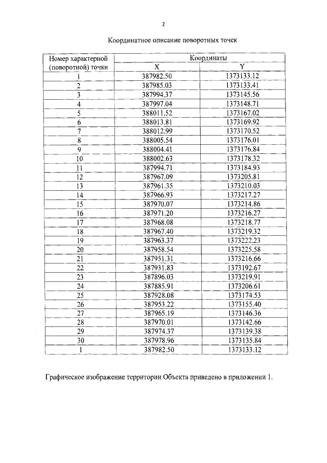
Приказ Управления государственной охраны объектов культурного наследия Самарской области от 02.08.2022 № 188
"Об утверждении границ территории и зон охраны объекта культурного наследия регионального значения "Соколовская богадельня с домовой церковью святых апостолов Иакова и Иоанна", расположенного по адресу: Самарская область, г. Самара, ул. Мичурина, 2/ Чкалова, 98, литеры А, А2, режимов использования земель и требований к градостроительным регламентам в границах данных зон"
Номер опубликования: 6301202208040004
Дата опубликования: 04.08.2022
Страница №5 из 24:
Увеличить