Официальное опубликование правовых актов
ОФИЦИАЛЬНОЕ ОПУБЛИКОВАНИЕ
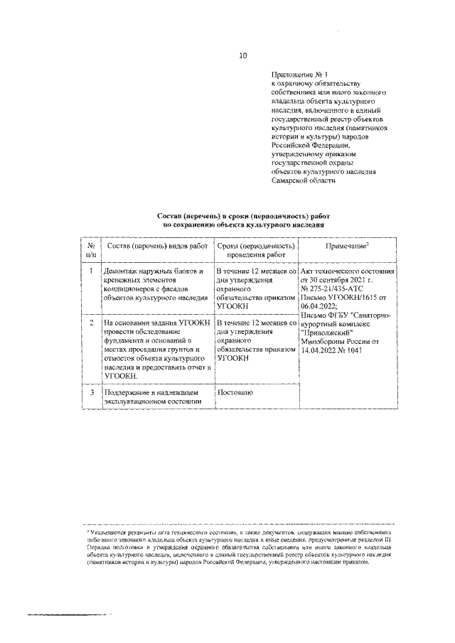
Приказ Управления государственной охраны объектов культурного наследия Самарской области от 04.07.2022 № 148
"Об утверждении охранного обязательства собственника или иного законного владельца объекта культурного наследия регионального значения "Жилой дом на даче почетного гражданина города А.А.Титова", расположенного по адресу: г. Самара, 7-я дачная просека территория санатория ПриВО "Волга", здание управления санаторием"
Номер опубликования: 6301202207060011
Дата опубликования: 06.07.2022
Страница №10 из 16:
Увеличить