Приказ Министерства социально-демографической и семейной политики Самарской области от 10.06.2022 № 318
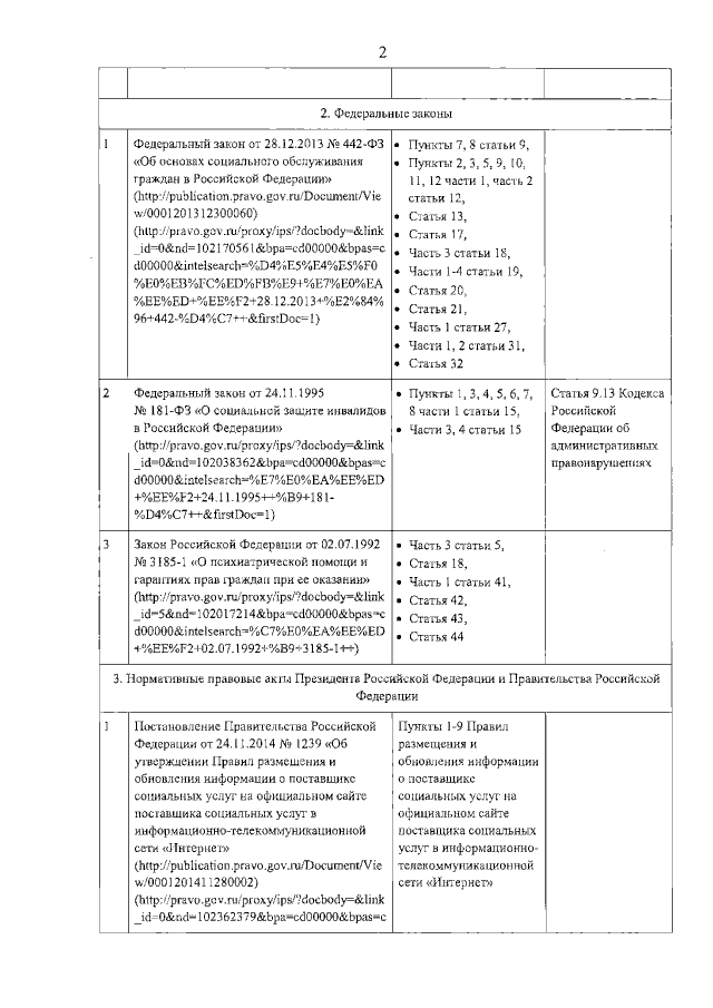
"О внесении изменения в приказ министерства социально-демографической и семейной политики Самарской области от 18.11.2021 № 685 "Об утверждении Перечня нормативных правовых актов и их отдельных положений, содержащих обязательные требования, оценка соблюдения которых является предметом регионального государственного контроля (надзора) в сфере социального обслуживания, информации о мерах ответственности, применяемых при нарушении обязательных требований"
"О внесении изменения в приказ министерства социально-демографической и семейной политики Самарской области от 18.11.2021 № 685 "Об утверждении Перечня нормативных правовых актов и их отдельных положений, содержащих обязательные требования, оценка соблюдения которых является предметом регионального государственного контроля (надзора) в сфере социального обслуживания, информации о мерах ответственности, применяемых при нарушении обязательных требований"
Номер опубликования: 6301202206140001
Дата опубликования:
14.06.2022
