Официальное опубликование правовых актов
ОФИЦИАЛЬНОЕ ОПУБЛИКОВАНИЕ
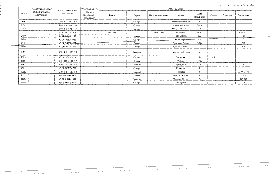
Приказ Министерства имущественных отношений Самарской области от 14.04.2022 № 651
"О внесении изменений в приказ министерства имущественных отношений Самарской области от 29.10.2018 № 1608 "Об определении Перечня объектов недвижимого имущества, находящихся на территории Самарской области, в отношении которых налоговая база определяется как их кадастровая стоимость для целей налогообложения, на 2019 год"
Номер опубликования: 6301202204180002
Дата опубликования: 18.04.2022
Страница №10 из 10:
Увеличить